在科研领域和很多光学实验中,会提到一个傅里叶透镜的概念,有的时候大家按照文献把光路搭出来倒也能直接工作,但难免会心里犯嘀咕,到底什么样的透镜才是傅里叶透镜,今天我就从原理上试图说明一下这个问题,希望对大家有所帮助~
一.光学成像系统的频谱分析
在讨论光学系统的频谱信息和光学成像系统的频域信息传递性能时,为了简化分析,我们先做出几个基本假设:
1.透镜是薄的,忽略折射引起的光线的横向偏移
2.透镜无吸收、完全透明、均匀、折射率为n,不改变光场振幅,仅改变位相
3.透镜孔径为无限大 (不考虑孔径大小和形状的影响)
在几何光学中,透镜作为一种折射成像元件,其主要作用是将物点变换为像点,物点和像点都可以位于无穷远处。然而,在物理光学的框架下,透镜则被看作是一种能够实现位相变换的元件,透镜前后表面的光场复振幅分布存在差异,这种差异正是透镜对光波进行调制的结果。
从信息处理的角度来看,我们可以从单透镜的位相变换作用入手,深入探究并导出透镜的傅里叶变换性质和成像性质。将透镜成像视为一种线性不变系统的变换过程,从而可以研究和评价透镜成像质量的频域方法。
进一步地,借助信息论的分析方法,我们能够深入研究光学系统在频域中的信息传递规律,揭示光学成像系统在不同空间频率下的传递特性,以及如何通过透镜系统对物体的空间频率成分进行选择性地传递或滤波,进而影响最终成像的质量和特性。
常见的分析方法包括考虑由孔径和透镜组成的系统,其中孔径具有有限大小,它不仅会产生衍射作用,还会对光波的位相产生调制效应;分析光在自由空间的传播过程,即菲涅耳衍射现象,这是理解光波在不同介质和不同空间位置之间传播规律的关键;以及采用逐面计算的方法,通过对光波在不同几何位置下的传播和调制进行详细分析,从而得到在特定位置处的傅里叶变换或成像结果。
二.透镜的位相变换作用
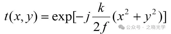
为了让大家熟悉光学系统频谱分析的方法,我们先举一个简单的例子,如下图所示,定义透镜的复振幅透过率:


如图所属,入射波是一个发散的球面波,出射波是一个汇聚的球面波,我们可以写出P1和P2面上的波面分布(大家在物理光学中应该都学过):


则略去位相因子,则透镜的复振幅透过率可以写成:

利用薄透镜成像的高斯公式,我们可以进一步的把上式写作:

上式与几何光学的结果相同,假设入射的是一个平面波,即平行光束入射,则P1=1,出射光束即可以表示为t(x,y),若f为正,则为一个向焦点位置汇聚的球面波。若为负透镜, f< 0,表示一个由透镜前方- f 处的虚焦点F'发出的发散球面波。
透镜对光波的相位变换作用,是由透镜本身的性质决定的,与入射光波复振幅的具体形式无关,这里需要大家明确。
大家其实也可以反过来想想,如果有一个衍射屏,可以实现上述位相变换,是否这个衍射屏可以等效为一个透镜呢?
三.透镜的傅里叶变换作用
进一步的,我们可以利用透镜的位相变换作用推导出一个结论:平面型透明片,在单色光照明下,通过透镜的位相调制作用,在照明光源的共轭平面上可以得到透明片的傅里叶变换。
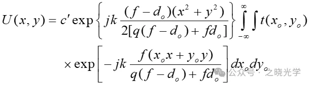
这句话里面的条件很多,我们可以尝试说明一下。详细的推导证明大家可以参考《信息光学》/《傅里叶光学》等教材。假设被照明屏幕出现在透镜前,如下图所示,则光束传播时会经历如下过程。

在上图中,单色点光源S发出球面波照明物体t(x0,y0)的前表面,被照明面t(x0,y0) 的傅里叶变换T(fx,fy)出现在x-y平面上。这里的推导比较复杂,涉及到标量衍射理论,也需要分类讨论,详细的推导证明大家可以参考《信息光学》/《傅里叶光学》等教材。我们直接给出下面的结论,对于上图所示情形:

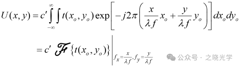
若q=f,d0=f,即用单色平面波照明物体,物体置于透镜的前焦面,则在透镜的后焦面上得到物体的准确的傅里叶变换(可以对照上图仔细想一下)。透镜的后焦面称为频谱面,此时有:

进一步讨论的话可以证明,不管衍射物体位于何种位置,只要观察面是照明光源的共轭面,则物面(输入面)和观察面(输出面)之间的关系都是傅里叶变换关系。透镜将照明光波变换成会聚球面波,会聚点是照明点光源的共轭像点。从而在此会聚点处(注意:不是物本身的像点)得到物的F.T.,但比例尺度改变(和波长以及焦距有关)。
如果说要得到严格的傅里叶变换结果,则输入光源,被照明物体,探测位置之间需要严格的遵循一定的几何关系。同时,我们的推导是基于菲涅尔衍射理论的,需要满足傍轴近似。因此,也不能说随便一个透镜都是菲涅尔透镜。
四.总结
通过本文的介绍,我们从光学成像系统的频谱分析入手,深入探讨了透镜的位相变换作用,并分析了透镜实现傅里叶变换的条件与原理。本文所述内容是目前如光信息,光、计算,量子光学等众多前沿方向的基础,最后还是建议大家自行推导一下,便于加深理解。希望本文的介绍能够帮助大家解开对傅里叶透镜的疑惑,激发读者在光学领域的探索与研究兴趣,共同推动光学技术的进步与创新。