在光学系统中,杂散光是一个不容忽视的关键问题。它会对系统的成像质量和性能产生诸多不良影响,如降低图像对比度、引入虚假信号等。因此,深入探究杂散光的传播过程、散射模型以及相关的双向散射分布函数(BSDF)测试方法,对于我们更好地理解和控制杂散光具有至关重要的意义。本文将从这三个方面展开详细的论述,旨在为光学系统的设计、分析和优化提供有益的理论依据和技术支持。
一.杂散光的传播过程
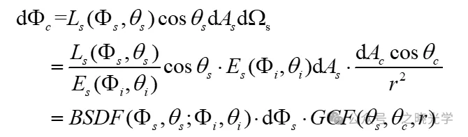
杂散光的传播过程相对复杂,每个过程都存在发射面和接收面,杂散光能量在这两个表面传输。把杂散光源分成多个微单元,到达像面微单元的积分总和就是到达像面的杂散光。假设有光能经面元散射被面元接收,如图所示。

θs和θc分别为两面元法线与其中心连线的夹角,r为两面元的中心距。面元dAs的辐亮度为Ls,则面元dAc所接收的辐射通量为:

式中BSDF即为面元的双向散射分布函数,GCF为面元dAc对dAs的投影立体角,即几何构成因子,dɸs为照亮面元dAs的辐射通量。
由此可知,接收到的辐射通量大小由光源的辐通量、表面BSDF和GCF三个因子所决定。对于光学系统而言,杂光光源分为外部杂光光源(太阳等)和内部杂光源(冷反射等),表面BSDF由选用的光机零件材料特性和表面镀膜、涂层情况决定,GCF由光机结构设计情况决定。
因此对于光学系统杂散光的抑制可从这三个方面考虑:
(1)降低杂光光源的辐射强度。由于外界自然光源无法改变,因此只能降低光机零件的自身辐射。若光学系统工作波段为可见光,所以无需重点考虑此方面。
(2)降低关键面的散射。通过表面粗糙化、增加强吸收涂层的方式,增大关键表面的吸收率,降低其BRDF值。
(3)减小系统杂散光传输的几何构成因子。GCF是三个因素中唯一有可能降低到0的因子,对于GCF的改善是通过修改光机结构进行的,如设置遮光罩、消杂光光阑、镜筒内壁车螺纹、里奥光阑等,主要设计思路是对杂光进行遮挡、增加散射次数以减少杂光能量。这就需要优化系统的消杂光设计,尽可能的减小GCF。
【光学知识】光学系统的杂光分析(七)—— Lyot光阑与衍射杂光
光学系统的杂光分析(四)——遮光罩设计
二.散射模型
在杂散光分析时需要对整个光机系统建模,其中,元件表面的散射参数非常重要。实际工程中的光学系统表面对光波的散射是非朗伯体性质的,即光子同物体表面的相互作用不是各向同性的,而是具有明显的方向性。双向散射分布函数 (BSDF,Bidirectional Scattering Distribution Function)衡量了物体表面不同方向上散射光的分布情况,因此可用来表征光机结构表面材料的光学散射特性。
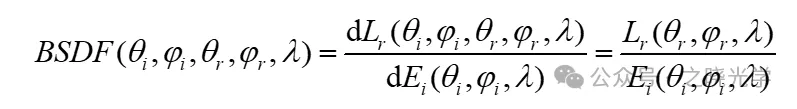
双向散射分布函数(BSDF)的物理意义为材料表面沿某方向出射的光线辐亮度与入射光线的辐照度之比,其数学表达式为:


通常,材料表面的BSDF很难用一个普遍适用的函数去表征。所以在实际分析时,一般先通过实验测定不同材料表面的BSDF数据,再用函数来拟合,对测定的数据进行匹配。目前,国内外在杂散光分析过程中,常用的表面散射理论模型有朗伯漫反射模型、Harvey模型、修正的Harvey模型和ABg模型等。
(1)朗伯漫反射模型
对于朗伯漫反射表面,各个方向上的BSDF 相等,虽然此模型形式简单,但实际应用中没有理想的朗伯漫反射表面,误差较大。
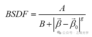
(2)ABg模型
ABg模型,也称准幂数倒数模型,也适用于粗糙度小于入射光波长的光滑介质表面属性建模,它可以通过修正的Harvey模型转化得到。此模型可直接应用于杂散光分析软件中,且经过实验发现ABg模型与其他模型相比,与大多数实际结果符合性更好,其表达式为:

式中 A、B、g——待定参数,测量表面BSDF后用待定系数法求解得到;
β、β0 ——散射光线和反射光线的单位向量在介质表面上的投影。
参数几何关系如图所示:

在ABg模型中,A决定散射总能量大小,初始散射点的值BSDF(0)由A/B确定;B是曲线开始趋向零的散射角;g为散射分布尾部的斜率,表征曲线趋近于零的斜率或速度。

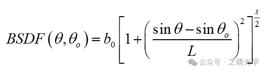
(3)Harvey模型
光滑镜面的散射可用Harvey模型描述。根据美国Arizona大学的Harvey教授的研究结果,对于粗糙度小于入射光波长的光滑表面,其散射具有移不变性。其BSDF表述为:

其中,s表示光滑表面散射分布的集中程度,是BSDF曲线在对数坐标下的斜率,取值一般为-1~-2,越大,镜面反射性能越好,Harvey模型存在的问题是,在接近镜面反射方向的BSDF值为无穷大,与实际情况不符,因此有了修正 Harvey 模型:

各种散射模型均有一定的局限性,在进行杂光仿真时,最好是可以对加工样品表面特性进行实测,通过实测数据,选用一个合适的散射模型进行拟合(例如ABg模型中的三个参数)。
但大多数时候我们对于仿真的要求没有那么高,因此可以先通过一些文献或经验值选取散射模型,给定对应的参数进行仿真。
光学系统的杂光分析(八)——使用LightTools分析鬼像杂散光:以Cooke Triplet为例
光学系统的杂光分析(一)——建立模型
三.BSDF测试方法
进一双向散射分布函数的测试设备如图2-8所示,主要由光学测量平台、电路以及一台计算机组成。

其中,光学测量平台包括光源、探测系统和样品台,光源和接收器分别固定在带滑轨的旋转臂上,测试材料样片放置在样品台上,通过旋转臂的圆周运动以及光源和接收器在旋转臂上的滑动获得不同的光照与观测条件,整个过程在计算机的控制下精密步进运动,且可以实现数据的自动采集与处理。整个光学测量平台置于暗箱中以避免环境光的影响。测试的过程分为五步:
(1)样品放置
为保证光照角度和测量角度的准确性,要求样品被测表面法向竖直并且被测点位于旋转臂的球心。样品高度调节可通过高度调节旋钮及高度控位杆配合完成,样品表面的方向通过水平调节旋钮以及平面反射镜的配合完成,使镜面反射方向的输出值最大。
(2)光源及探测器选择
可通过调节光源的位置,保证样品表面的光照度输出信号足够大但不饱和。探测器在样品上的观察面积可通过选择不同的探测头调整。
(3)照明及探测设置
(4)测量标准白板数据
测量标准漫反射白板的出射光亮度以校正数据。
(5)测试及数据处理
得到BSDF数据后,将数据导入MATLAB软件中进行拟合。例如用ABg模型拟合,我们可以得到具体数值,若拟合误差较大,则需要考虑被测表面的散射特性难以用该模型表述,需要修正或替换模型。
四.总结
本文系统地阐述了杂散光的传播过程,通过分析发射面和接收面之间的能量传输关系,揭示了影响杂散光接收辐射通量的三大关键因素。同时,对常见的散射模型进行了详细介绍和比较,指出了各自的适用范围和局限性,并强调了根据实际测量数据选择合适模型进行拟合的重要性。最后,详细说明了 BSDF 的测试方法及其在杂散光分析中的应用。这些内容为我们在光学系统的设计和优化过程中,有效抑制杂散光提供了全面且深入的理论指导,有助于提高光学系统的成像质量和整体性能,对于光学领域的研究和实践具有重要的参考价值。