在红外光学系统中,制冷型探测器也向外发出热辐射。这部分能量在某个表面反射,反射回来在像面成像被探测器接收,就是冷反射。
在红外光学系统的设计中,冷反射问题一直是影响系统性能的关键因素之一。冷反射不仅会降低成像质量,还可能对目标探测和识别产生干扰。因此,准确评估和有效控制冷反射对于提高红外光学系统的性能至关重要。本文将从YNI值的概念出发,探讨其在冷反射评估中的应用,并介绍光学设计软件中提供的相关工具以及利用蒙特卡洛法进行光线追迹的方法。通过这些内容,希望能够为红外光学系统的设计者提供有价值的参考和指导。
一.YNI值
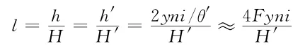
传统衡量冷反射大小的一阶参量为YNI,其中N为反射面处的折射率,Y为逆向追迹中心视场边缘光线在反射面的入射高度,I为反射角。与鬼像的评价类似,YNI本质上是冷反射像的离焦量大小,根据几何关系有下式:

式中F为光学系统的F数,H′是探测靶面高度。 上式式说明YNI是离焦量l的傍轴近似。

在光学设计软件中,可以直接计算各表面对应在像面上的YNI参数,我们以一个红外小镜头为例,表面8对应的YNI绝对值最小,说明这个表面引起的的冷反射较为严重。一般认为YNI绝对值小于1说明这个表面对冷反射敏感。


但也需要说明,红外光学系统最终探测的还是目标和背景之间的温度和发射率差异,假设冷光阑及芯片温度77 K,镜筒环境温度300 K。按斯蒂芬玻尔兹曼公式,77 K 自身辐射通量相比外界环境只有 (77/300)⁴ ≈ 1/81 ≈ 1.2 %,即使YNI较小,冷反射引起的噪声通常也较小,不能仅以YNI作为冷反射严重程度的唯一判据。
但对于红外暗弱目标探测,则可能需要严格控制冷反射,最大限度的提高信噪比,此时可以通过操作数直接对YNI进行优化,或手动调整透镜形状。
二.光学设计软件中提供的工具
在zemax官网上有一个小工具,需要在英文页面下搜索并下载,大家可以自行查找并阅读说明。

将这个小工具保存在zemax的宏文件里。方法如下:调用宏的位置

注意到这个路径,然后在路径下将宏文件放到ZPL文件夹里面,调用的话只要是ZPL文件夹里的Marco文件都可以读取。
Zemax的这个宏的应用有几个要求。1.第一个面必须是光阑面,将像面倒置。

2.点击鬼像追迹工具,将反射次数选为单次反射,设置镀膜透过率参数,勾选保存文件,点击OK。

第三步:调用这个宏。输入环境温度300K。探测器温度77K。结构温度300K。

系统会自动运行得到如下结果。


上图中纵坐标是冷反射引入等效温差NITD,类似于噪声等效温差NETD,单位开尔文。负号只说明方向更冷,大小看绝对值。通常NITD 越大,冷反射越严重;NITD 越小,冷反射控制得越好。从图中可以看到NITD温度小于0.1K,冷反射可接受。NITD 在全视场范围内平稳且低。
三.利用蒙特卡洛法进行光线追迹
光学系统的杂光分析(八)——使用LightTools分析鬼像杂散光:以Cooke Triplet为例
光学系统的杂光分析(一)——建立模型
(建议阅读该系列的其他文章)
以tracepro软件为例,首先按前面的内容导入模型,完成添加材料和表面特性等前处理工作,并对模型进行验证。

然后定义光源。点击像面,右键属性,定义表面光源。发射形式变更为黑体辐射,场角分布为朗伯型。温度设置为77K。

为了提高计算速度,我们可以忽略冷反射光线与机械结构表面之间的散射作用,冷反射与机械结构表面的散射关系不大,我们可以将散射次数调整为1。

点击仿真,筛选像面光线。得到像面的辐照度分析图,如下图所示。同样的,我们可以查看路径筛选表格,查看冷反射的来源在哪。


我们可以看到94%左右的杂光来源来自于透镜4的表面5的单次反射。对于常规光学系统,冷反射一定是由奇数次反射引起的,这与鬼像的路径不同。
和zemax对应一致,对应透镜4的前表面。这也说明了zemax中的YNI是有参考意义的。我们从光学层面优化冷反射有两种处理方式,一是调整透镜4的前表面的形状。二是提高这个面的镀膜要求。如果不好处理,我们可以计算现在冷反射引起的噪声等效温差以及对应目标的信噪比,如果可以接受,冷反射也可以通过图像处理的方式校正(本质上就是像面非均匀性校正,红外制冷相机本来也需要这一步处理)。

需要提示的是。利用tracepro得到的结果是像面辐射照度分布,对于整个光斑,其照度水平相对于成像的平均照度低于两个数量级,可以认为不产生影响;另外,可以观察光斑能量是否集中,根据经验若光斑较为均匀的分布在像面上则可以认为冷反射影响较小,而光斑能量较为集中的话则可能需要处理。
四.总结
本文通过详细介绍YNI值的概念及其在冷反射评估中的应用,展示了如何利用光学设计软件中的工具和蒙特卡洛法进行光线追迹来分析和优化冷反射。
我们了解到,虽然YNI值可以作为一个重要的参考指标,但在实际应用中还需要结合其他因素进行综合评估。通过光学设计软件中的宏工具和光线追迹软件的分析,我们可以更准确地定位冷反射的来源,并采取相应的优化措施。