在光学领域中,对激光光束在空间中的传播行为进行精确建模与仿真是至关重要的。其中,高斯光束作为最理想的激光模式,其在自由空间中的衍射是研究的基础。
在之前的文中,我们介绍过贝塞尔光束,作为波动方程的一种特殊解,贝塞尔光束在一定的范围内不受衍射作用影响。为了精确描述和预测这种复杂的波动行为,尤其是在涉及复杂相位调制(如轴棱锥)或长距离传输的场景,我们需要引入严格的波动光学理论。角谱法(Angular Spectrum Method)正是这样一种基于傅里叶光学和亥姆霍兹方程的强大工具,它能够准确地模拟光场在自由空间中的衍射和传播,为我们理解和设计诸如无衍射的贝塞尔光束等特殊光场提供了坚实的理论基础。
一.角谱法(ASM)的理论推导
所谓角谱法是一种求解亥姆霍兹波动方程的精确方法,尤其适用于模拟光场在自由空间中任意距离的传播。
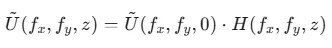
假设一个电场在z=0处的空间分布为U(x,y,0),则根据傅里叶光学理论,任何空间分布的光场都可以被分解为一系列平面波的叠加,这些平面波以不同的方向传播。这个平面波的集合,在频域中被称为角谱。角谱即U的傅里叶变化,可以写成:

上面这个式子是信息光学的基本表达式之一,我们可以用上式推导出菲涅尔衍射、夫琅禾夫衍射和MTF曲线等基本理论,大家感兴趣可以回过头看一下傅里叶光学的内容,这里就不多介绍。
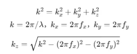
在自由空间中,每个平面波分量(即角谱上的一个点)从z0=0传播到z处的相位变化是exp(ikzz),其中kz是沿z方向的波矢量分量,有以下表达式:

因此,角谱在z平面的分布可以表示为一个传播因子与角谱在z=0处分布的乘积:

对上式做傅里叶逆变换,即可得到对应平面上的光场分布情况:

上述方法是一种精确的物理计算方法,直接处理了所有的平面波分量,包括那些可能以大角度传播的波(即高空间频率分量),这使得它在近场和远场传播仿真中都具有极高的准确性。在实际计算中,我们通常通过快速傅里叶变换(FFT)算法来实现这些操作。
三.高斯光束输入与锥透镜的相位调制
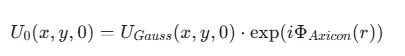
这里我们给出一个具体的仿真计算案例,如果我们想要用锥透镜生成贝塞尔光束,首先我们需要定义入射高斯光束和锥透镜的位相调制作用。在z=0处,高斯光束的复振幅很好描述:

而锥透镜对入射光引入了线性变化的径向相位延迟可以写作:

上式中k即波矢量,α为锥透镜的锥角,n为折射率,r为径向距离:

带入角谱法理论则有:

上式即为高斯-贝塞尔光束仿真的初始光场情况。
四.仿真计算与可视化输出
为了方便对比,我们使输入参数和之前文章中的保持一致。输入高斯光束束腰半径为4.5mm,波长1064nm,锥透镜选取成品THORLABS,AX255-C。
使用Zemax仿真贝塞尔光束

由于贝塞尔光束集中在一个较小的范围,所以选取较多的采样密度,为了避免计算中出现截断、混叠等问题,有需要选取较大的传播宽度,如果有编程高手可以说一说有没有什么优化的办法,按目前的参数输入,计算的速度会比较慢。

定义好输入光场,按角谱法传播,得到66mm处光场分布,如下图所示:

对比一下,与我们之前用zemax演示的结果基本一致。

五.总结
本文系统地介绍了角谱法在光束传输仿真中的理论基础,并以高斯光束经过锥透镜生成贝塞尔光束为例,展示了精确的数值模拟过程。角谱法作为一种精确的衍射计算方法,其优势在于能够准确处理大角度衍射(即高空间频率),从而准确模拟近场和远场的复杂光场结构。通过仿真,我们清晰地观察到了贝塞尔光束的标志性特征:在一定传播距离内,中心光斑尺寸保持不变的无衍射特性,以及由贝塞尔函数描述的横向同心圆环结构。