一、原理概述
杂散光的传播过程相对复杂,每个过程都存在发射面和接收面,杂散光能量在这两个表面传输。

图1 杂光的发射面和接收面
在分析杂散光时,必须对整个光学系统进行建模,特别是要考虑元件表面的散射参数。在实际工程中,光学系统表面的散射特性通常不遵循朗伯体性质,即光子与物体表面的相互作用不是均匀分布的,而是具有方向性。双向散射分布函数(BSDF,Bidirectional Scattering Distribution Function)用于描述物体表面在不同方向上的散射光分布,因此可以用来表征光学系统表面材料的光学散射特性。
BSDF表示材料表面沿某一方向出射光线辐亮度与入射光线的辐照度之比,其数学表达式为:

BSDF的参数几何关系如下图所示:

图2 双向散射分布函数各参数含义
BSDF由三部分组成:双向反射分布函数(BRDF)、双向透射分布函数(BTDF)和双向衍射分布函数(BDDF)。它们之间的关系是:

双向反射分布函数(BRDF)主要用于描述表面的漫反射特性,双向透射分布函数(BTDF)用于描述透明介质内部的散射特性,而双向衍射分布函数(BDDF)则用于描述孔径衍射所引起的散射特性。
二、描述模型
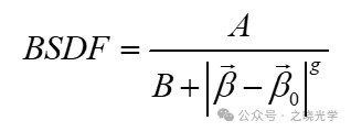
通常,材料表面的BSDF难以用一个通用的函数来描述。目前,国内外在杂散光分析中常用的表面散射理论模型包括朗伯漫反射模型、Harvey模型、修正的Harvey模型和ABg模型。在杂光仿真软件中,可以自定义表面的散射特性,这里简要介绍ABg模型。
ABg模型,也称为准幂数倒数模型,适用于粗糙度小于入射光波长的光滑介质表面属性建模,可通过修正的Harvey模型得到。一般的情况下ABg模型的精度已经满足仿真需要,其表达式为:

参数几何关系如图3所示:

图3 ABg模型的参数几何关系
一般A的取值范围比较大;B的取值小于等于0.001;g的取值和材料特性、抛光方法和抛光程度相关,一般在1到3之间。
在进行杂散光仿真时,一些表面涂层厂商会提供散射特性数据,我们可以直接输入到仿真软件中,但一般情况下我们并不知道实际的表面特性,则需要通过实验采集光以一定角度入射到表面后,各个方向的能量分布,再根据某种模型拟合。
三、杂光抑制能力评估方法
1.杂光系数
杂光系数(VGI,Veiling Glare Index)通过黑斑法定义,黑斑法测量的是无限大均匀面光源对被测目标产生的杂光系数。无限大均匀面光源通常用积分球的内壁来实现。在积分球内壁牛角管处分别设置黑白目标,测试二者在光学系统像面的照度。
如果被测光学系统没有杂光,则像面上黑斑像照度应为0;如果有杂光,则黑斑像的照度是亮背景所发出的非成像光束所产生的。将黑斑调换为白斑后,中心照度是白斑像的照度和非成像光束产生的照度之和。

图4 黑斑法测试装置
杂光系数的定义为:放置在亮度均匀展光屏上的理想黑斑经过光学系统后在像面上产生的中心照度与光学系统无黑斑时像面上照度的比值,则杂光系数表达式为:

杂光系数的实质为探测器接收到的杂光能量占所有抵达探测器能量的比例。
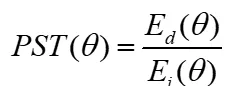
2.点源透过率
点源透过率(PST,Point Source Transmittance)是评价不同离轴角度下光学系统杂光抑制能力的指标。它的定义为:离轴角为θ的点源辐射,经过光学系统后到达像面的辐照度与光源在光学系统入瞳处的辐照度的比值,表达式为:

PST与杂光光源的视场角有关,与杂光光源的辐射强度无关。因此,点源透过率反映了光学系统本身对点源杂散光的衰减能力。
需要注意的是,在各种杂光分析软件中,蒙特卡洛追迹方法作为一种概率统计方法,其结果的可靠性与采样计算量有关。采样计算量受到多个参数影响,为了获取精准的像面杂散光照度的情况,需要对光线追迹总数与光线功率阈值进行设置。这两个参数不仅影响计算的准确性,同样影响着计算机仿真时间。重点采样技术能够提高光线通过关注路径的概率。设置重点采样面可以指定光线向着特定的方向产生和传播,使用户感兴趣的表面的光线数增加,且不改变实际结果。这种方法可以保证追迹相对较少光线时结果的可靠性,能够大大提升杂散光分析的效率。
除了杂光系数和点源透过率,一般的成像系统还需要考虑鬼像和冷反射等设计缺陷,这类杂光的情况同样可以通过蒙特卡洛法仿真,设计人员可以根据仿真结果调整镜头设计。需要注意的是,在进行这类仿真时,追迹阈值需要设置得低一些,以免仿真过程中忽略了问题。
四、总结
受限于公众号的形式,这一部分内容只能介绍这么多了,如果读者想要深入了解,则需要一定的辐射度学和光学测试知识,各位可以参考相关领域的专业书籍。此外最后推荐一篇参考文献[1],里面写得比较详细。感谢各位的阅读,这个专题我也会继续更新。
参考文献:
[1]王虎,陈钦芳,马占鹏,等.杂散光抑制与评估技术发展与展望(特邀)[J].光子学报,2022,51(07):125-180.