一、设计原则
在处理杂散辐射表面时,需要改变光学和结构表面的特性,以降低杂散光的反射和散射。具体的处理方法包括对结构件进行涂黑处理、改善粗糙度、对透镜表面进行增透膜的涂覆、改善表面光洁度,以及对光学元件非通光面进行涂黑处理等。
改善光学结构的几何构成因素是另一个抑制杂光的重要方法。这种方法可以通过修改光学和机械结构来实现。具体的措施包括设置遮光罩、视场光阑、在镜筒内壁上设置挡光环等。在进行设计时,主要思路是对杂光进行遮挡,增加散射次数以减少杂光能量。通过合理的光学系统消杂光结构设计,可以显著降低光学系统中的杂光水平,从而提高系统的成像质量和性能。因此,在杂散辐射仿真之前,首先应对建模方法进行分析。
抑制杂散光的一种主要方法是安装遮光罩。遮光罩可以在不改变光学系统结构的前提下有效地抑制杂散光。在遮光罩的设计中,需要遵循以下原则:
(1)由视场外强辐射源产生进入光学系统的光线需经两次以上反射或散射;
(2)避免非成像光线不经衰减直接到达像面;
(3)成像光线不被消杂光结构遮挡;
(4)在成本允许的条件下,考虑采用具有高吸收率的黑色涂层等。
二、参数选取
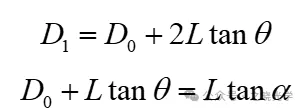
根据以上原则,可以进行遮光罩的设计,遮光罩外形尺寸计算有以下表达式:


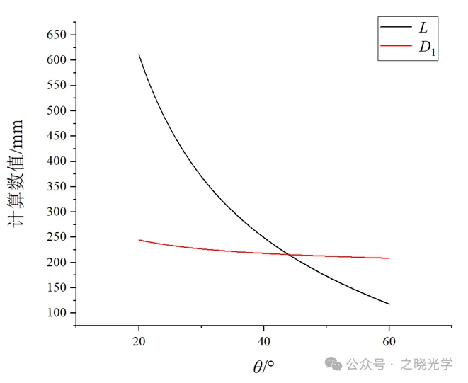
式中α为杂光抑制角,L为遮光罩长度,D0为内口径直径,D1为遮光罩直径。当光学系统口径和视场角确定之后,遮光罩外直径和长度由杂光抑制角确定,杂光抑制角变化引起的遮光罩外直径和长度变化如下图所示。

这里的杂光抑制角含义是,只有当视场外杂光光源的离轴大于杂光抑制角时,遮光罩才能发挥最佳性能,若离轴角小于杂光抑制角,光学系统的入瞳仍有一部分会被照亮。杂光抑制角越小,视场外杂光抑制效果越好,但遮光罩越长。这就要求我们在实际工程中,在方案阶段就对杂光的潜在来源进行论证,遮光罩的参数选取可以根据实际包络要求和杂光抑制要求综合考虑。
三、挡光环设计方法
为了有效降低散射杂散光的影响,遮光罩内壁通常设置挡光环结构,使杂散光经过多次反射后衰减。挡光环结构需要具有良好的二次散射控制能力,即入射杂散光至少需要两次散射才能到达控制面。外遮光罩挡光环的数量和位置可以通过公式推导和精确建模确定,对于四镜系统,选择主反射镜作为控制面。此外,为了减少边缘散射和衍射,挡光环采用斜面设计,并涂黑处理。
设计挡光环时通常会将其端面做成刀口状,以减少端面的散射面积,并保留圆角方便加工。刀口倾角一般为30°或45°。另外,挡光环的刀口朝向会对杂光造成影响。当光线入射角度大于刀口倾角时,刀口朝内的倾斜面会散射光线进入光学系统,而刀口朝外的倾斜面会将散射光线散射到系统外。同样的,当光线入射角小于刀口倾角时,刀口朝内的倾斜面则不会被直接照射,这样的设计有利于减少直接散射。挡光环的结构如图所示。

有很多文献会介绍挡光环位置和高度的数学计算方法,并用编程去实现。我个人认为计算得到挡光环位置之后还需要在软件里进行建模,这样一来一回比较麻烦,所以我个人一般是直接在Solidworks的草图中根据作图直接确定挡光环的顶点位置,并直接建模。
根据光线路径,可以通过光线追迹就可以确定挡光环端点位置,具体原则就是确定遮光罩的长度和直径后,大于杂光抑制角的光线不能直接照亮入瞳,这些光线同时将被挡光环向外阻挡(参考上图)。

挡光环建模示意图
除了遮光罩外,光学系统的其他位置也可以设置挡光环,这个也需要根据需求具体分析。
四、总结
本文介绍了光学系统遮光罩的设计原则和方法,同时也简要介绍了挡光环的建立方法。遮光罩和挡光环都是抑制视场外杂光的有效手段,希望对各位有所帮助。