随着科学技术的进步当前的仪器设备已朝着光、机、电集成的趋势发展。折射型微透镜阵列以其体积小、重量轻、便于集成化、阵列化等优点,已成为新的发展方向。而且连续型微透镜阵列是一种目前应用得十分广泛的微光学元件,它被广泛地应用于光束整形、光学器件互连、三维成像等领域。如果觉得有帮助,还请多多转发支持,之后我也会进一步写写微纳元件的仿真计算和加工工艺问题。
一、微透镜阵列的提出
微透镜阵列的概念最早可以追溯到17世纪,1664年,Robert Hooke利用火焰将一束很细的玻璃棒的一端熔化,在表面张力的作用下端面呈现球冠状。随着显微技术和集成光学的发展,科学家们逐渐意识到在光学系统中缩小透镜尺寸并将其阵列化的潜力。1960年代,现代微透镜的雏形最初出现在光纤通信和微成像系统中,用于解决光束聚焦与耦合问题。然而,受限于加工技术的局限,早期微透镜的制作精度和阵列排列的均匀性较低,难以大规模推广应用。
到了20世纪末,随着半导体加工技术和微电子机械系统(MEMS)的发展,光刻和离子蚀刻等精密加工技术逐渐成熟,微透镜阵列的制造精度得到了大幅提升。这使得微透镜阵列不仅能够在小型光学系统中被广泛应用,还推动了其在光学显示、传感和通信等领域的多样化应用。
在之前的文章中,我已经介绍了二元光学透镜及其基本原理。前面介绍的二元光学透镜等属于浮雕型微光学元件,而连续型微透镜阵列则通过精密制造技术实现真正的光滑曲面。由于连续型微透镜能够高效地调控光束的相位和振幅,在现代工艺下大批量制造的成本也不高,它们迅速在光学系统中占据了重要地位。
未来镜头发展方向-微纳光学技术概述
微纳光学(二)——折衍混合光学系统中的二元面
连续型微透镜阵列最早是为了满足在光学系统中对光场调制的高精度需求而提出的。不同于传统光学元件,这类微透镜通过在衍射和折射之间寻找到平衡,使得光束在经过多个透镜后可以产生特定的聚焦和分散效果。它的设计理念是通过在亚波长级别的结构设计,实现精确的光束控制。
二、微透镜阵列的特性
微透镜阵列的设计和性能评估依赖于一系列重要的参数,这些参数直接影响其加工难度以及在特定应用中的效果,不同的加工方式和应用场景中,关注的参数也不完全一致。这里我就结合一种具体的加工方法和一种具体的应用介绍一下。
2.1 微透镜阵列的焦距和F数
焦距是微透镜阵列中每个透镜单元的核心参数,决定了其光束聚焦能力。在光学设计中,焦距短的微透镜能够产生更为集中的光束,适用于精密成像、光束整形等领域。焦距的选择还影响了阵列的布局和工作距离。例如,在光纤耦合和微投影系统中,焦距必须匹配系统的其他元件,以确保最佳光学性能。
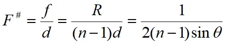
对于连续型微透镜阵列,若以光刻胶热熔法加工,如下图,则有以下关系:



其中n为微透镜的折射率,θ称为接触角,由于光刻胶熔化过程中表面张力的作用,光刻胶的表面积将减小到最小值以使其表面能量达到最小。光刻胶与基底的接触角是一个常数,它仅与光刻胶的化学成分、周围的气体以及基底的性质有关,而与微透镜的焦距、半径等参数无关。在光刻胶热熔法中,如何通过工艺手段调整F数大小是一个研究的热点。

2.2 填充因子 (Fill Factor)
填充因子是指微透镜阵列中透镜的有效区域占整个阵列区域的比例。高填充因子意味着更多的光通过透镜表面而不受阻碍,因此可以提高系统的光学效率。然而,高填充因子通常意味着透镜之间的间距较小,这对加工精度提出了更高的要求。
在光刻和模具成型技术中,高填充因子阵列需要极高的空间分辨率来避免透镜之间的干扰。任何微小的偏差都可能导致透镜的边缘效应,从而影响光束传输的均匀性。为了克服这些挑战,先进的制造技术如深度紫外光刻(DUV lithography)和电子束刻蚀(e-beam lithography)被广泛应用于高精度微透镜阵列的制作中。
高填充因子的微透镜阵列在背光照明、显示技术以及太阳能电池领域具有广泛的应用。例如,在液晶显示屏(LCD)的背光系统中,高填充因子可以确保光线均匀地分布在整个显示区域,避免亮度不均现象。同时,在太阳能电池中,高填充因子的微透镜阵列可以最大化光的收集效率,提高光电转化率。微透镜阵列最常见的应用是和探测器集成,微透镜阵列的几何参数设计必须与CCD 结构尺寸相匹配。
2.3 衍射效率 (Diffraction Efficiency)
衍射效率是衡量微透镜阵列对光的调制能力的重要指标,尤其是在微米和亚微米级的透镜阵列中。高衍射效率意味着元件可以将更多的入射光转换为所需的出射光模式,从而提高系统的光能量利用率。对于亚波长尺度的微透镜阵列,衍射效应尤为显著,有文献分析研究过微透镜阵列衍射效应在夏克——哈特曼波前传感器中的影响,因此提高衍射效率有时是优化设计的关键目标之一。
为了提高衍射效率,常常需要采用抗反射涂层技术或亚波长结构设计。这些方法通过减少表面反射和优化光传输路径,能够显著提升透镜阵列的衍射效率。此外,离子束刻蚀或激光直写技术的发展使得现在能够制造出更精细的微结构,光线的相位调制更为精确,从而提高整体效率。
三、微透镜阵列的应用
微透镜阵列的广泛应用涵盖了多个领域,尤其在光束整形、成像系统、光通信和光学传感等方面发挥了关键作用。由于其体积小、重量轻、便于集成化的特性,微透镜阵列成为现代光学系统中不可或缺的元件。如果应用利用光刻胶热熔技术加工,可以制作出直径在微米至毫米量级之间、F 数在1~10之间的微透镜。
光束整形是微透镜阵列的典型应用之一。在激光器或LED照明系统中,输出的光束通常是不规则的,而微透镜阵列可以将光束进行均匀分布或聚焦,形成均匀的光斑或平行光束。这种特性在液晶显示背光、激光各类应用和光纤耦合中至关重要。例如,在LED照明系统中,微透镜阵列能够将发散的光束整形为均匀分布的照明光斑,从而提高照明效率和亮度均匀性。

再例如,常用的半导体激光器出射偏振光远场发散角度大、出射光束的平行性差及衍射效应较强、光束发散角不对称,使得其出射像散椭圆光束光强分布也不对称,难以直接应用。可以利用微透镜将出射光束耦合到光纤中。
Zemax软件中自带一个微透镜阵列激光应用相关的案例,位置在zemax\Samples\Physical Optics\Lenslet Array.zmx。这个文件的相关说明官网上有,展示了一个平顶光束通过微透镜阵列的光线传播状况,感兴趣的话大家可以研究看看。

在光纤通信系统中,微透镜阵列常用于光纤之间的光束耦合和模式匹配。通过微透镜阵列,可以高效地将光纤中的发散光束聚焦到另一个光纤或探测器中,实现高效的信号传输。同时,由于微透镜阵列的特性,在各种多路光束耦合的场景中也常见到,与传统光学元件或散射等方法相比,微透镜阵列的使用也有助于提高能量利用效率。在作者印象中就有激光和红外复合的平行光管以及多路目标模拟器中用到微透镜阵列作为光束耦合器件。
和微透镜阵列有关的应用非常多,这里只能说说我所熟悉的一小部分,其实这里我也想展开介绍一下微透镜光束整形、波前传感和自适应光学,以及我所研究过的复眼光学系统,之后有机会我会单独写文章讲讲。
【成像光学基础】光学系统的焦深
【成像光学基础】从初始结构设计一个可见光广角镜头
四、总结
微透镜阵列作为微纳光学领域的重要组成部分,凭借其体积小、轻量化和高度集成化的特点,在现代光学系统中得到了广泛应用。从最初的单个微透镜设计到如今复杂的微透镜阵列,随着加工技术的进步,微透镜阵列的光学性能和制造精度不断提升。这不仅推动了它在光束整形、光通信、成像系统等领域的应用,也为新一代微纳光学元件的发展奠定了坚实基础。
本篇文章中,我们通过回顾微透镜阵列的发展历程,详细阐述了其设计参数与制造工艺之间的关系,并结合Zemax软件的实例展示了微透镜阵列在实际光学系统中的应用。未来,随着纳米制造技术的进一步成熟,微透镜阵列将会在更广泛的领域,如光学传感、显示技术和信息处理等方面发挥更加重要的作用。