一、引言
球差是光学系统中最常见的一种像差,指的是由于球面透镜自身的几何缺陷,不同孔径带的光线经过折射后无法保证等光程成像,最终在焦平面上形成的图像模糊。初级球差只和透镜口径的四次方成正比,与视场和光阑位置无关。在大多数成像光学系统中,如何消除或减小球差都是光学设计中首先需要考虑的课题。
这就产生了一个问题,如果只用球面透镜,如果满足一定的特殊条件,我们能否使球差为0呢,答案是肯定的,在本文中我会首先介绍球差为0的几何条件,再介绍使球差为0的几个设计案例,希望能对大家有所帮助。
二、色差的计算及校正方法
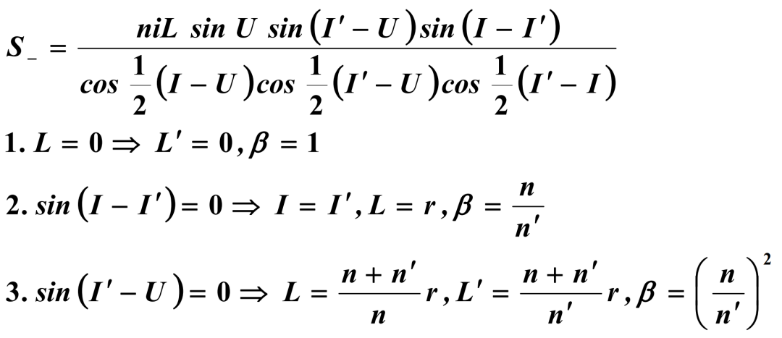
先直接给出公式,为了实现球差为零,光学设计中通常需要满足以下三个条件中的任意一个:

最上面的式子是球差的完整表达式,注意,这个公式并不只是初级球差(这里再挖个小坑,之后有时间给大家完整的展示一下这个式子是怎么推导出来的,还请各位持续关注并多多转发)。抛开孔径角为0不谈(没有意义),根据最上面的式子,我们可以得出整个表达式为0的三个条件。
- 物体位于表面: 即式中分子上sin式前的部分为0,此时可以认为物体直接位于透镜的球面表面上时,光线在通过表面时不会发生折射,因而不会产生球差。
- 物体位于曲率中心:即式中sin(I-I')项为0,当物体位于透镜球面曲率的中心时,所有通过该点的光线都将垂直入射并沿相同路径通过透镜,因此也不会产生球差。
- 物体位于齐明点:第三个条件相对比较复杂,满足该几何关系的物点又称为齐明点(Aplanatic, 又称为不晕点),是指物体位置与成像位置满足特定折射条件,使得入射光线和出射光线之间的正弦比保持不变。在这种情况下,透镜能够纠正球差并满足阿贝正弦条件,从而使成像质量显著提高。
只是在这里讲公式过于抽象,我们可以在下面根据公式直接给出几个透镜的设计例子。
三、透镜设计实例
1.第一种情况
物体位于第一表面的曲率中心,第二表面满足零像差的第三种情况。此时假设透镜材料已知,我们可以根据上面的数学表达式得到透镜的全部其他参数。在软件中进行仿真,得到如下结果:

这种结构形式就是所谓的齐明透镜(Aplanatic Lens),我们看一下此时的像差情况。


透镜物方数值孔径为0.5,则物高0.6mm范围内的像点均位于艾里斑范围内,赛德尔系数说明透镜在这种条件下确实几乎不产生球差和彗差。
2. 第二种情况
物体满足第一种情况,并且透镜第一表面的半径是无穷大。第二表面满足第三种情况,物方数值孔径还是0.5。


3. 第三种情况
我们可以把前两种情况的透镜组合起来,并很大程度的增大数值孔径到0.9,此时如下图所示。



组合起来之后,虽然数值孔径非常大(孔径角大,如果是一般的透镜的话会有巨大的球差),但光斑依然非常理想,这种结构及其类似的形式其实在高倍显微镜和激光加工系统等类似的应用场合中非常常见(也挖个坑,后面可以系统的讲一下显微系统是怎么回事)。

四、总结
在光学系统设计中,球差的校正是一个重要的课题。通过本文的介绍,我们了解到,即使在使用球面透镜的情况下,只要满足特定的几何条件,球差是可以被消除的。
通过三个实际设计例子,我们进一步验证了这些理论条件的实际应用价值。无论是单一透镜还是组合透镜结构,只要合理设计,都可以实现高质量的无球差成像。这些设计方法不仅在理论上具有指导意义,而且在实际工程应用中也展现出了巨大的潜力。除了文中提到的显微镜物镜,大家如果以Aplanatic Lens为关键词检索SCI文章,也可以找到这种特殊透镜的其他有趣应用。
参考文献:
[1]Rudolf Kingslake, R. Barry Johnson. Lens design fundamentals [M].