棱镜、滤光片、分光板这些元件在光学设计中非常常见,它们一般都可以等效成一个平板玻璃。刚好最近我的一位好朋友在做一个双色系统项目中遇到了一点问题,我觉得这个事情还挺适合写一篇公众号文章讲一讲的。为了在应用中方便大家更好得进行结构选择和设计,本文专门对平板玻璃的像差特性进行分析,并通过仿真给出了平板玻璃对点列图的影响,验证了像差特性。希望能对各位读者有所帮助。
一、平板玻璃的像差特性
我们都知道球差是最基本的单色像差,而球差的产生源自球面与理想透镜的偏离。但是平板玻璃作为一个由平面构成的器件,它是否会引入像差呢?实际上,特别是在汇聚光路中,如果具有滤光片,分光板或棱镜(可以展开成平板玻璃),我们在设计时经常能观察到子午方向与弧矢方向的传函有差异,这种差异一部分就来自于平板玻璃。由于平板玻璃的参数只有倾斜角度、厚度和折射率,平板玻璃自身引入的像差是固定的,无法通过优化它自身去矫正,因此分析平板玻璃的像差特性也是很有必要的。
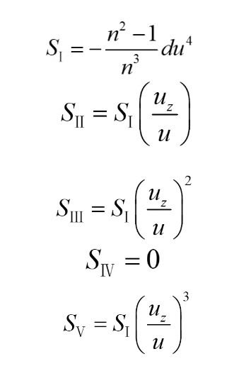
赛德尔像差公式是分析光学系统像差的重要工具。对于平板玻璃,我们同样可以直接写出五种初级单色像差的赛德尔系数公式[1]:

从上面的公式中我们可以总结出几个特点,第一,平板玻璃的初级单色像差和本身的折射率n与厚度d有关,这说明,前后移动平行玻璃板不改变其自身的像差特性,如果一段位置有连续的几个平板玻璃,我们也可以把他们当作一个来看;第二,除了自身的特性,平行玻璃板的初级单色像差与第一辅助光线、第二辅助光线位置和孔径角有关,在平行光路里,孔径角为0,平板玻璃并不产生像差。
为了验证上面的特点,我们可以在Zemax软件中,对平板玻璃进行仿真。
二、实验仿真
我们在软件中建立这样一个系统如下图,光路中其光线汇聚作用的是一个理想透镜,物在无穷远,在理想透镜之前的平行光路中,有一个平板玻璃,在理想透镜之后的汇聚光路中,也有一个平板玻璃。

打开点列图,我们可以发现虽然理想透镜不产生任何像差,但点列图确实并不理想。

我们这时观察一下赛德尔系数,可以看出系统的像差来自于后面的平板玻璃,这与本文前面对像差特性的分析是一致的。

增加后面的平板玻璃的厚度(从5增加到40,增大8倍),我们可以发现像差特性发生了一定变化,如下图所示,随着厚度的增加,平板玻璃引入的球差增加了,其他几种单色像差同样增大,场曲依然为0。



另外,根据本文前面给出的公式,影响平板玻璃像差的另一个要素是孔径角,及第一第二辅
助光线,我们把厚度改回去,但是减小系统的像方F数(由4变为2,即相对孔径变大2倍),此时如下图所示。


大家可以思考一下,比对一下这三种情况下的赛德尔系数之间的关系,同时观察一下上面的公式,看看各种单色像差和变化量之间有什么联系。
三、倾斜放置平板玻璃的像差
目前的一个研究热门是双色光学系统,这种光学系统中经常会涉及到分光方式的问题。还是上面的系统,我们给后方的平板玻璃设置一个45°的倾斜量,如下图所示。

此时系统的点列图发生了很大的变化,如下图所示:

我们可以比较一下倾斜量为0和倾斜量为45°时的光线像差图,如下图所示:

(a)倾斜0°,像面位置为求解(光瞳1,高度0)

(b)倾斜45°,像面位置为求解(光瞳1,高度0)
可以看到,平板玻璃的倾斜额外引入了一部分像差,而这种像差与回转对称的透镜呈现出的光线像差图形状是不太一样的,这也是为什么在多路的光学系统中,我们经常能看到用立方棱镜来代替倾斜放置的平板玻璃进行分光。如果要用倾斜平板,这也解释了为什么一般让波长长的透射,波长短的反射。
关于这种情况像差的定量描述,如果大家感兴趣,可以自行查阅这篇参考文献[2],文献中同时提出了一种解决方法,这里就不再展开了。
四、总结
通过本文的分析与仿真实验,我们探讨了平板玻璃在成像光学系统中引入的像差特性。尽管平板玻璃结构简单,但在光路中其影响却不可忽视。通过赛德尔像差公式,我们量化了平板玻璃的球差、彗差、像散等单色像差,并通过仿真验证了这些像差在不同条件下的变化规律。
从实验中我们可以看到,平板玻璃的厚度和折射率直接影响其引入的像差,尤其是在汇聚光路中,像差更加明显。此外,平板玻璃的倾斜角度也会显著改变光学系统的像差特性。通过对平板玻璃的像差特性深入理解,设计人员可以在光学系统中更好地选择和应用平板玻璃,优化系统结构,减少不必要的像差,提升成像质量。
参考文献:
[1]李林,黄一帆,王涌天.现代光学设计方法[M].北京理工大学出版社,2022.
[2]X Zhong, TC Wang, Jl Yan,et al.Aberrations correction of tilted plane-parallel plate in convergent rays[J]. Applied Optics, 2015.