在光学系统的设计过程中,很多时候我们需要关注到像面上的光斑分布情况,在几何光线追迹下,我们希望光斑的RMS半径都要小于艾里斑的半径,软件中自带的点列图就能为我们提供这方面的参考。但艾里斑反应的是垂直于光轴的平面内的衍射情况,有的时候,我们又需要关注沿光轴方向的衍射情况。这一次我就来从衍射的原理上介绍一下焦深的概念,希望通过这一案例,能够为光学设计工程师在实际工作中提供清晰的设计思路和实践参考。
一、焦点附近的光场分布
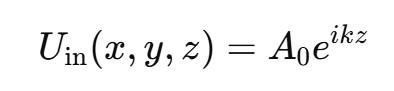
在研究光学系统的焦深时,首先要理解光场在焦点附近的分布情况。为了精确描述这一现象,我们可以从平面波经过透镜后的光学变换入手,并使用菲涅尔衍射的理论来推导焦平面附近的光场分布。设入射光为波长为λ 的单色平面波,其波面可以表示为[1]:

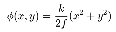
其中,A0是入射光的振幅,2π/λ 是波数,z表示传播方向。当这束平面波经过透镜时,根据傅里叶光学理论,透镜可以看作是对波面相位的调制器。透镜的位相函数可以表示为:

透镜引入的相位延迟由透镜本身的参数决定,其作用相当于将光线聚焦到焦点f上,因此平面波经过透镜后变成了一个汇聚的球面波:

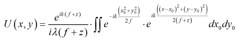
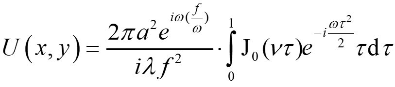
把上面的汇聚球面波代入菲涅尔衍射的表达式中,假设光传输了f+z距离,忽略常数因子,则此时的光场分布为:

由于我们想要研究的是沿光轴方向的光场分布,对上式可以适当化简,在上式中忽略(x,y,z)的二次项,同时引入极坐标表达式,这里有一些化简和推导过程,如果大家感兴趣可以参考下面这本书[2],我就直接给出结果:




二、焦深的导出
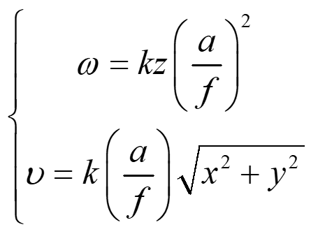
由于省略了很多推导过程,上面的公式很难直接理解,因此在这里讨论一下。在极坐标系下,上面的公式通过一些无量纲的量进行化简,将焦点附近的光场分布转化成了贝塞尔函数积分的形式,我们可以直接给出,在光轴上时,x=y=0,则有υ=0。此时可以把上式进一步化简为:

一般情况下我们关注的是光的强度,而非相干情况下光的强度是复振幅模的平方,自然对数的幂指数平方后可以化简,将所有常数因子写作I0,则有:

这个式子才是我们真正想要去分析的,sinc函数的特性如果大家接触过傅里叶分析应该非常熟悉,函数在ω=0时为最大值,当ω=3.2时,光强大约下降20%,我们一般认为,此时光斑的强度比像斑中心相比的下降是允许的。此时把ω代回z,即可得到利用光的衍射推导出的焦深表达式:

上式中a即为光学系统的有效口径的半径,因此平方项即为光学系统的F数的4倍,在可见光波段,假设波长为0.5微米,则焦深可以直接近似为±F数的平方,单位为微米。这个近似公式非常有用。
三、与景深的比较
这里有一个非常容易搞混的知识点,就是景深的概念,在几何光学中,我们也曾学习过景深,景深指的是物体前后移动时可以在像面上保持清晰的范围,如果大家注意过景深公式的推导,就会知道景深完全是用几何得到的。焦深(depth of focus)是用于描述光轴方向上,光场分布保持一定聚焦范围的物理量。而在本文中,我已经大致介绍了焦深的导出过程,可以看到焦深的本质是光的衍射,可以说焦深是波动光学范畴内的概念,这一点要仔细区分。
焦深和景深在原理上有本质上的区别,尽管它们都涉及对焦平面前后的光场分布。在实际的光学设计中,焦深可以在指标论证环节指导F数的选取,以及为调像面提供参考。此外在显微系统中,由于数值孔径往往比较大,焦深便往往在微米或亚微米量级,这就要求非常严格的对焦。

而我们谈论景深,一般是针对照相光学系统,例如在指标论证环节,我们一开始就对成像范围有要求,除了限定F数外,景深还与物距以及探测器选取有关。玩摄影的时候,我们谈论的虚化就是指景深。通过对焦深和景深的比较,我们可以看到,二者虽然名称相近,但本质上源于不同的物理机制。设计师在进行光学系统设计时,除了要熟悉软件操作和几何光学的知识,熟练掌握物理光学及傅里叶光学也非常重要。
【成像光学基础】光学系统中的调制传递函数(MTF)曲线
【成像光学基础】光学系统的分辨本领)
四、总结
本文通过对焦深和景深的详细分析,阐明了它们在光学系统中的不同作用和影响。理解并区分这两个概念,对于设计复杂的光学系统至关重要。设计师不仅要掌握几何光学中的基础知识,还需要深入了解物理光学的原理,以便在实际应用中做出更好的参数选择和性能优化。如果大家对相应物理光学知识感兴趣,我之前写过一篇关于贝塞尔光束仿真的文章,之后可以在理论上介绍一下贝塞尔光束,以及,之后可以写一些关于干涉衍射理论的东西,还请大家保持关注。
【使用Zemax仿真贝塞尔光束】
最后,还是谢谢各位看到这里。您的点赞、在看、转发就是我更新的动力,如果对您有帮助,可以在下面赞赏作者哦。拜托啦,这对我真的很重要。
更多精彩内容: