前几天去师兄家里,师兄说自己最近在优化一个手机镜头的时候发现了一点奇怪的问题,明明用DIMX操作数约束了畸变,但是在场曲畸变曲线上看到畸变还是很大。我去看了看,发现是曲线的设置成了F-theta畸变没有改过来,其实已经满足指标要求了。我们在设计一个镜头时,根据使用要求不同,对畸变的要求也不同。这一次我就尽可能的从基础原理上介绍一下两种畸变的类型,希望能够为光学设计工程师在实际工作中提供清晰的设计思路和实践参考。
一、畸变的基本概念
我们可以先来回顾一下畸变的基础知识。
1. 理想光学系统的像高
理想光学系统应能准确地将物体的光线聚焦到成像平面,保持几何形状和比例不变。按最基本的几何关系,理想光学系统的像高为y,视场角为θ,焦距为f,则有:

理想情况下,放大率应为常数,以确保成像的几何准确性。
2. 畸变的形成与描述
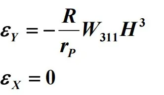
畸变是指实际成像像高与理想成像像高之间的偏差。畸变的形成通常与光学系统的设计、材料特性以及光线的传播方式密切相关。光线在通过光学元件时,若未能按照理想光路传播,就会导致成像的几何失真。在波像差理论中,初级畸变表示为W,对于波像差常数W311,则有:

上式说明初级畸变与视场的三次方成正比,与孔径的一次方成正比,对cos项进行分解,yz面为子午面,xz面为弧矢面,对应到几何像差上,则有下式。这里大家可以思考一下W311的单位是什么,和赛德尔系数有什么关系。


畸变的形成可以归结为光学元件的设计缺陷与光线传播路径的改变。在实际设计中,光学工程师需要考虑这些因素以减少畸变,提高成像质量。它可以分为以下两种描述方式:
1)相对畸变:相对于理想成像的比例失真,通常以百分比表示。相对畸变可以通过以下公式计算。

2)绝对畸变:以绝对单位(如毫米)表示的成像偏差,直接反映成像的几何失真。绝对畸变可通过下式计算。

相对畸变用于衡量实际图像与理论图像的偏差程度,一般指标要求给的是相对畸变。相对畸变若小于4%,则人眼很难发现,对于光学检测、光学遥感等应用,相对畸变关系到测量误差,因此要求非常严格。绝对畸变有助于判断成像的具体偏差,虽然提的不多,但是也非常有用。例如,探测器对角线长度为10mm,在优化的后期,需要根据结合了畸变的实际像高核实当前镜头的视场是否满足指标要求。由于视场和畸变均和装调有关,为了保证最后产品满足要求,视场必须留一点余量。再例如,如果大家了解畸变是如何测试的话,就会知道在平行光管和转台上得到的直接数据是真实像高,相对畸变是根据实测数据计算出来的。
二、F-theta畸变
不知道大家有没有注意到,不论是相对畸变还是绝对畸变,表示的都是像高的偏离情况,而像高的参考基准是理想光学系统的像高。虽然对于一般的成像光学系统,我们以理想光学系统作为参照是合理的,但是在某些情况下,这样的做法也有一些不便。由于理想光学系统的像高和视场为tanθ的关系,在激光扫描等动态成像系统中,进入光学系统的视场由反射镜的扫描角度控制。若要求光束能够均匀覆盖整个视场,而不仅仅是成像平面的中心区域。随着扫描角度的增加,光束的传播路径和入射角度的变化会导致像高的非线性变化,这对于控制来说是不利的。因此,我们引入F-theta畸变的概念为设计和优化这类光学系统提供了更为具体的指导。

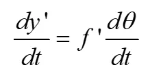
F-theta畸变可以直观的理解为我们在设计镜头时,人为的引入了一些畸变,使得理想像高正比于物方的视场角,即可以实现以下关系:

同时对时间t求导,则有:

则可实现激光扫描的线速度正比于振镜偏转的角速度,这对于扫描过程的精确控制是十分有利的。
在光学系统的设计过程中,工程师需要综合考虑透镜的像差情况、远心度以及后工作距等因素,以尽量减小这种畸变。通过合适的设计和优化,F-theta畸变可以被有效控制,从而确保系统能够满足特定的成像要求。这种畸变比较大,但F-theta畸变很小的镜头又被称为F-theta镜。接下来,我们将进一步探讨F-theta镜的优化方法。
美国Edmund公司部分产品参数

三、F-theta镜的优化
假设我们现在要对标上面15-181产品的技术指标,我们可以自己优化一个试试,首先我们使用Zemax官网上提供的一个文件作为优化起点。

优化的过程中,我们可以使用DISC操作数控制F-theta畸变,将畸变的优化目标设定为千分之二,同时其他指标也通过操作数进行约束。
在F-theta镜的设计中,最终我们要看的是扫描场内的光斑大小,因此还需要考虑包括场曲和像散在内的其他像差。将优化函数的模式设置为RMS Spot Radius(均方根半径),并设置主光线为参考点。若要考虑远心,则需要用EXPP操作数控制,演示的这个案例就不考虑了,公众号今年早些时候也写过一篇远心的F-theta镜的优化,大家可以参考。
优化结果如下,这个还是只做了一个晚上的结果,还有一定优化空间,大家可以参考。如果之后继续优化的话,重点在于进一步提高能量集中度并注意公差灵敏度的控制,能量集中度也是可以直接通过操作数约束的,如DENC,大家可以自行尝试,在公众号回复“畸变”可以免费领取这个文件。

重点来了,优化这个镜头是次要的,说回本文一开始的话题,在看畸变大小时,一定要区分好两种畸变类型,除了操作数要用对,看曲线的时候也要设置正确,例如现在这个结果,默认的场曲畸变曲线是Ftanθ畸变,看起来很大,但其实此时我们的畸变已经满足要求了。



在计算机视觉领域,畸变可以看作物空间和像空间之间的一种位置坐标映射偏差,其实,在一些特定情形下使用的还有其他的映射关系,大家可以查一查。
一直以来,我也开源了不少东西,这几篇文章里都有相关的可以下载的文件,大家感兴趣也可以点进去看看并多多转发,这也是对我很重要的支持。
【光学系统的杂光分析(六)—— 杂光路径与鬼像】
四、总结
在本篇文章中,我们回顾了光学系统中的畸变基本概念,并深入探讨了F-theta畸变的定义、形成原因及其在实际应用中的重要性。通过分析相对畸变和绝对畸变,我们明确了如何评估光学成像的几何精度。同时,F-theta畸变的引入为激光扫描和动态成像系统的设计提供了具体指导,使得光束能够均匀覆盖整个视场。
我们还讨论了F-theta镜的优化过程,强调在设计时需综合考虑透镜的像差、远心度及其他因素,以确保系统满足特定成像要求。通过合理的优化手段,我们能够有效控制F-theta畸变,提高成像质量。
最终,我们提醒读者在处理畸变时,需明确区分不同类型的畸变,并注意在实际应用中的设置与调整。这将有助于光学设计工程师在实际工作中做出更为精确的决策,推动光学系统的发展与创新。希望本篇文章能为大家提供有价值的参考,助力更高效的光学设计实践。