师弟前一段时间在网上找别人帮他设计了一个变焦系统,其实这个东西虽说比较复杂,即使自己找不到合适的专利或者文献,也是可以自己尝试计算的。本期内容就给大家说说变焦到底是怎么一回事,虽然预感到了这篇文章的阅读量不会特别高,但还是花了不少时间,希望大家多多点赞转发。
一、变焦的基本概念
变焦光学系统是指焦距可以通过沿轴线移动一个或多个镜头部件而连续变化的系统,像面位置通过某种方式(光学或机械方式)保持在一个固定平面上。当前的变焦物镜大多通过改变透镜组之间的间隔来调整整个物镜的焦距。大家都知道物近像远,但一般光学系统的像面位置是恒定的,所以变焦光学系统至少需要两组镜片组成。根据补偿方式的不同,可以分为光学补偿和机械补偿。
变焦光学系统设计中,变焦距范围的两个极限焦距,即长焦距和短焦距之比值被称为变倍比,简称“倍率”。对于高变倍比的系统,由于希望控制外形尺寸以及二级光谱校正等具体问题,有时会采用在长焦距时相对孔径适当缩小的方案(即F数随着焦距改变)。
变倍组和补偿组若一个做线性运动,则另一个只能做非线性运动。补偿组的设计可以分为正组在前和负组在前两类。在下图这个系统中,我们看到了正负正三组透镜。第一个透镜是固定的,称为前固定组,第二个和第三个透镜向相反的方向移动。系统的焦距等于透镜 a 的焦距乘以透镜 b 和透镜 c 的放大倍数。

我们要计算变焦光学系统的初始结构,其实就是给定一部分参数,从而计算出任意变焦倍数下,各个透镜组的焦距和间隔。
二、变焦系统的计算方法
几年前做某个纵向项目的时候我用matlab写过一个计算程序,三组元正组补偿变焦,除了变倍组和补偿组之外有一个前固定组,如果要增加到四组元或者减少到二组元,其实就是一个缩放的事情。详细的公式推导还是有些麻烦的(有些保有量很大的教材这里的公式都是有问题的,有符号规则的错误等等,所以最后还是我自己把公司推了一遍,才保证程序正确的),我就结合这个程序,通过一个案例来介绍吧。
(1)变焦光学系统的数学约束
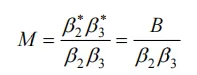
为了实现变焦,变倍组2 需沿光轴作线性移动,设其垂轴放大率由 β2 变为 β2*, 为补偿像点A′ 不动的要求,补偿组 3 需作相应的沿轴移动,使补偿组放大率从 β3 变为β3*。由式(20.44)得到设计时所要求变焦距物镜的变倍比为:


根据高斯公式计算前后的物距像距及放大倍率,可以求得:

从而得到保持像面不动的条件:

进一步将上式改写,可以得到:

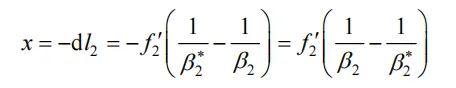
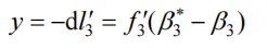
可以把变焦过程理解为一个连续的微分过程。设在变焦过程中,变倍组和补偿组偏离初始状态位置的移动量,分别用x 和y 表示,而且规定自左向右为正,反之为负。

变倍组偏离初始状态位置(一般为短焦距位置)的移动量可由下式求得:

补偿组偏离初始状态位置的移动量y 由下式求得:

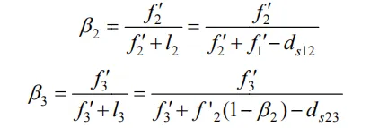
初始状态位置的β2,β3 可由三个焦距f1′,f2′ ,f3′ 及它们之间初始状态的间隔ds12 和ds23 来确定。由高斯光学物像公式可得

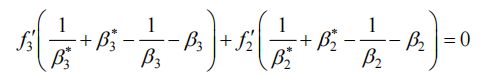
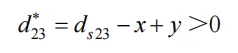
当变倍组移动x时,补偿组的相应移动量为y。移动过程中应满足变倍比M要求和相对位置关系:

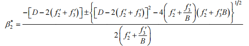
(2)补偿组焦距的求解区间
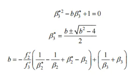
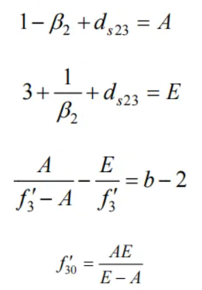
有了上面的约束,可以说明假设将变倍组焦距归一化到-1(变倍组是负组),则补偿组的焦距取值并不是任意的,由于补偿组的放大倍率涉及到二次方程组,所以补偿组的焦距其实就是一个二次方程的求根问题。这里直接放结果,定义一组参量:

则在变倍组焦距的归一化条件下,补偿组的焦距所在的可解区间为:

详细推导过程可以参考相关书籍,不同的书对这里的描述不太一样。
(3)计算示例
设计一个6倍变焦系统,采用正组补偿的方式,给定初始约束如下:

计算得到补偿组焦距解的三个区间:

根据前面直接给出的结论,此时补偿组归一化焦距为小于等于1.2041,或在2.7211到4.1541之间,这里假设取1.2。
各个组元的焦焦距都确定了,可以进一步计算,得到各个透镜短焦和长焦状态下的间隔:

三、仿真验证
把上面的结果放在光学设计软件里面,用近轴面进行仿真:

从下到上三个状态的焦距分别是24mm,72mm,144mm,计算结果完全正确。
对于最短焦距和最长焦距之间的各个状态,程序画出的前固定组相对于变倍组间隔、变倍组与补偿组间隔曲线如下:

这个程序现在计算循环计算的时候是以变倍率为步长,一步一步计算的,得到的结果是焦距线性变化,则变倍组做非线性运动,补偿组做线性运动。其实也可以直接以变倍组的位置为循环的该变量,这样得到的结果就是强制让变倍组做线性运动,大家可以思考一下两种方式的结果会有什么区别。另外如果要绘制凸轮曲线,根据程序稍作修改即可,这里不再演示。
四、总结
变焦光学系统的设计与计算主要涉及变倍组和补偿组的运动和位置的计算,确保在变焦过程中焦距变化的同时,像面保持稳定。
本文介绍了在没有初始结构的情况下,如何直接利用近轴光学计算各个组元的焦距和位置。通过上述过程,我们可以看到变焦光学系统的初始结构计算并不复杂,只要掌握了基本的光学原理和相关公式,就可以分别优化各个组元,最后组合起来再进行优化,从而从无到有的得到变焦系统设计结果。