在光学系统设计中,传统球面镜由于加工和计算的便捷性,一直是主要的光学元件。然而,随着现代光学系统对高性能、高精度的要求日益增长,球面光学元件的局限性逐渐显现,尤其是在校正像差、提高成像质量和缩小系统尺寸方面。本文将围绕光学非球面的概念和应用展开讨论。我们首先描述非球面的数学表达式及其物理意义;随后,通过设计案例,展示如何利用程序进行非球面参数的计算和优化;最后,对光学非球面的设计和应用前景进行总结和展望。通过本文,希望能够为读者提供一个清晰的光学非球面概述,以及实际应用中的设计参考。
一、引言
光学非球面指的是表面形状偏离球面的一类光学元件。通过在设计中引入非球面形状,可以有效校正包括球差在内的多种高阶像差,显著提升系统的光学性能。非球面使得光学设计更加灵活,能够在减少光学元件数量的同时,减轻系统重量和体积。此外,非球面在复杂光学系统中的引入,还可以改善图像质量、提升光学效率并扩展系统的适用范围。
光学非球面的概念可以追溯到17世纪,数学家和科学家如勒内·笛卡尔和克里斯蒂安·惠更斯就曾提出非球面形状用于光学校正的可能性。然而,早期由于制造技术的限制,非球面设计一直未能广泛应用。直到20世纪中期,随着精密加工和检测技术的突破,非球面元件才逐步进入实际应用领域,例如高性能相机镜头、望远镜和显微镜。
近年来,非球面研究进入了一个崭新的阶段,尤其是自由曲面的兴起。与传统非球面相比,自由曲面不仅在径向对称性上具有更高的自由度,还能更灵活地校正各种像差,适用于多通道、多视场和紧凑型光学系统设计。自由曲面技术在AR/VR显示设备、汽车成像系统以及激光光学领域引发了广泛关注,成为现代光学研究的重要方向。
正因如此,光学非球面和自由曲面在现代光学系统中的地位日益重要,成为诸多高性能应用的设计核心。从精密成像到激光聚焦,从虚拟现实设备到航空航天技术,非球面的发展极大地推动了光学领域的技术革新。要真正理解和应用非球面技术,首先需要深入探讨其数学描述及物理意义,这是设计与优化非球面光学元件的基础。
在接下来的部分中,我们将从光学非球面的数学模型入手,系统分析其表面方程及相关参数如何影响光学性能。这将为后续的设计案例奠定理论基础,并帮助读者进一步理解非球面的实际应用价值。

二、光学非球面的描述
在光学设计软件中,一个光学表面通常由其矢高z和径向距离r描述:
z:指光学表面上任一点相对于基准平面的高度(通常沿光轴测量)。矢高是光学表面形状的直接表征,其大小决定了光线通过表面后的传播方向。
r:指光学表面相对于光轴的径向距离,定义了光学元件的有效区域。
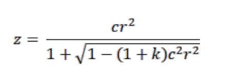
假设光轴为z轴,光学表面在横向上的径向坐标为r,矢高z(r)则表示表面在r位置的高度。通过矢高和孔径的关系,可以精确描述光学表面的形状。对于回转对称的光学表面,其形状仅与径向距离r相关,可以用各种多项式来表示。例如Zemax中的标准面,定义如下:

在上式中,除了z和r两个量,描述面型的还有c和k两个参数,c即为表面轴上位置的曲率,k是一个和离心率有关的量。标准面已经足以描述所有的圆锥曲面,关于K值,我之前写过文章介绍。
【反射式光学系统中的圆锥曲面】
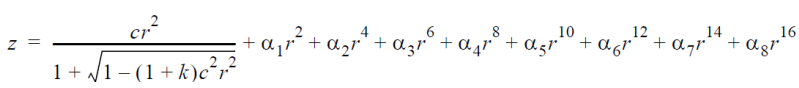
在标准面的基础上,我们可以引入多项式来描述表面和标准圆锥曲面的偏离,其中最常用的是偶次非球面,zemax中的偶次非球面的系数即为多项式对应次项的系数。这里需要注意的是,a1项对应的是r^2,这一项如果不为0,则表面中心位置的曲率不再仅由c描述,这会为设计加工与检测带来困难,所以一般a1项为0,或某些特殊的固定值。有时候,我们也可以让c为0,即表面的曲率半径为无穷,而a1有值,例如施密特校正板。

【如何设计一个施密特光学系统】

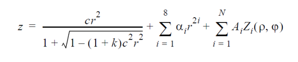
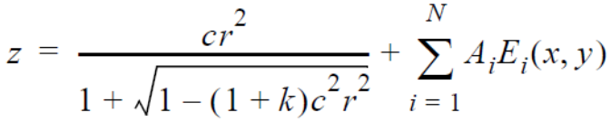
所谓自由曲面,同样是在圆锥曲面的基础上,加入不同的多项式描述矢高和标准面面形的偏离。泽尼克多项式在波前传函和光学检测中非常常用,当然也可以用于描述自由曲面。此外,另一个常见的自由曲面表示方法是扩展多项式,即面形矢高完全由一个x/y方向的多项式的组合定义,这种方法也能灵活描述各种非回转对称的表面。目前,自由曲面的表示方法也是一个传统光学领域有前途的研究分支。


【成像光学基础】平板玻璃会引入像差吗
【成像光学基础】色差的计算与矫正
三、非球面系数的计算
有的时候我们需要使用非球面实现一些特殊功能,对应的表面形状可能很难直接从球面添加非球面系数优化得到。这种时候我们也可以尝试直接根据表面的矢高计算非球面系数,下面我就用matlab程序简单展示一下。
很多时候,我们可能很难直接得到非球面的解析式,假设我们已经利用传统的几何关系或者利用现在比较火的神经网络计算得到了我们所需要表面的一系列矢高与径向距离的离散点,如下图。这里这一系列离散的点和我们希望非球面实现的功能有关,例如施密特校正板,我们希望平衡球面反射镜的球差,而不改变光焦度。

(纵坐标即为z,横坐标即为r)
针对上面一系列离散的点,如果大家学过数值分析,就可以使用多项式拟合方法,通过最小二乘法计算最佳拟合的非球面系数。根据拟合得到的系数绘制非球面形状,与原始数据点对比,检查拟合精度。


拟合得到的非球面系数Ai可直接用于光学设计软件(例如 Zemax)中,通过调整这些系数校正系统的像差性能。此外,该方法可扩展到自由曲面的二维拟合场景,通过xy数据点拟合面形函数z(x,y)。

四、总结
光学非球面是现代光学设计中不可或缺的关键元件,其应用极大地提升了光学系统的性能和灵活性。从球面镜到非球面,再到自由曲面的发展历程,不仅反映了光学理论的不断演进,也展现了精密加工和检测技术的持续突破。
本文从数学描述和物理意义入手,详细分析了非球面的基本模型及其参数如何影响光学性能。通过具体的设计案例,展示了如何通过程序计算非球面系数,为光学设计提供了理论指导和实践参考。尤其是基于离散点的多项式拟合方法,展现了将复杂面形直接转化为设计参数的可能性,为非球面和自由曲面设计开辟了新的路径。
通过本文,希望读者对光学非球面的原理和应用有一个全面而清晰的认识,既掌握其理论基础,又能在实际设计中灵活运用这些技术,为光学系统的创新发展贡献力量。