一、技术背景
光谱是指将物体或物质所发出或吸收的光线按照频率或波长进行分解和分析的过程或结果。光谱分析是指通过对光谱进行测量、分析和解释,获得光谱信息中包含的物质化学性质的信息,来研究物体或物质的组成、结构、性质、状态等方面的方法和技术。光谱分析和光谱成像技术采集的光谱和图像信息中包含着样品物质化学性质的信息,在光谱和图像信息与被测物质成分之间建立数学关联,可以获得被测样品的检测结果。
光谱分析以波长为界限划分可以分为为几个波段:紫外(200nm-380nm)、可见光(380nm-780nm)、近红外(780nm-2500nm),其中每个波段都有各自不同的应用领域,在这几个波段之中,近红外光谱分析应用领域占比最多。最开始人们就发现近红外光谱分析在农业方面可以得到很好的应用,如通过近红外光谱对谷物含水量进行检测,以此来衡量农作物品质。美国国家谷物检测中心(FGIS)最先运用该方法检测了谷物的成分并对其质量进行评价,同时对近红外光谱分析法建立了一套对应的检测标准。此后,人们逐渐开发出近红外光谱分析方法在检测和分析环境污染物、检测生物体液与药物成分等领域的应用,也因此更受重视。目前国内公司光谱仪相关参数指标如表1-1中所示:

从上表可以看出,国内光谱仪波长范围以900-1700nm居多,本文采用光路以交叉式C-T结构为基础进行了改进,从体积上看,这样的结构体积最小。设计技术指标如表1-2所示:

二、光学系统方案

图2-1 光学系统结构图
在进行光谱仪光学系统设计时,需要根据光栅方程进行计算,以确定反射镜和光栅参数情况。首先有光栅方程:

其中 d——刻线间距(mm)
N——每毫米刻线数
M——衍射级次(m=0,±1,±2,…)
λ——波长(nm)
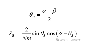
通常情况下,光栅采用闪耀光栅,在特定阶次和波长要求下具有高衍射效率的特点。如图2-2所示,对于闪耀光栅的主闪耀波长有:

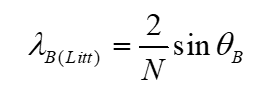
当衍射效率最高时,此时称为利特罗光路,或利特罗配置,有主闪耀波长:

若光栅倾斜的角度使入射角不满足利特罗条件,则衍射效率最高的中心波长为:

考虑到光路紧凑性和光学系统像差及结构干涉等问题,本课题中采取,若光栅刻线数为150线每毫米,在设计指标波长范围内,且与中心波长接近。

图2-2 闪耀光栅与主闪耀波长
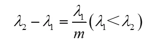
由于m是整数,因此衍射角ß是跳跃式变化。这里把不重叠的区域称为衍射光栅的自由光谱区(free spectral range),如图2-3所示。在m阶中使用λ1到λ2波长的光谱时,应满足以下条件,以防止光谱重叠:

本研究中指标要求的光谱范围是900~1700nm,满足自由光谱范围要求,不会发生光谱重叠现象。
为了实现交叉C-T结构,两个反射镜具有一定倾斜量,考虑到像差控制,使第一反射镜倾斜10°,第二反射镜倾斜15°。由于系统整体不具有对称性,将产生明显的像散如图2-3所示,因此在焦面前加入柱面镜进行矫正。

图2-3 两个反射镜引起的像散
除此之外,反射镜焦距和口径与具体的光栅和探测器选型,以及体积包络有关,这里就不再详细分析。
三、光谱仪光路设计结果
考虑到批量加工时可以定制光学元件参数而不过多增加成本,本研究中提供一种采用150线每毫米光栅的设计结果,可以使光路更为紧凑,并具有更好的光谱分辨本领。如图3-1。

在优化结果中,第一反射镜相对光轴倾斜14°,光栅相对入射光光轴倾斜23°,第二反射镜相对光栅出射光主光线倾斜14°。但是设计结果的缺点在于市场上150线光栅较少,需要更高的成本和更长的供货周期,这在小批量试制过程中并不合适。但是当大批量生产时,这个缺点则可以解决。
四、总结
本文中基于C-T结构设计了一种工作在近红外波段的(900~1700nm)光栅光谱仪,对光谱仪光学系统方案与元件参数给出了简要分析,并基于该方法给出了一个光谱仪设计结果。
本文所示的设计方案包含一个光栅、一个柱面镜和两个球面反射镜,制造装调成本非常低,实验室自己购买元器件搭光路即可实现。适合用在光谱分辨率要求不高,但成本或简易性要求高的场景。