“猫眼”这对于广大的群众来说并不陌生,在现代家家户户的家门上都会有“猫眼”这个东西,一般来说房内的人都是用“猫眼”来观察门外的情况,以防止坏人入侵,能起到防盗和安全的作用。本文就简单介绍一下门窥镜”猫眼“是怎么设计出来的,这可以说是一种简单的目视光学仪器,很多东西在复杂的显微镜、望远镜中也是通用的。

由于门窥镜安装在门中,因此厚度不大,对于门外的物体而言,可以看作离门窥镜无穷远。从屋内看屋外时,本光学系统的出瞳和孔径光阑重合,并且能和人眼匹配,于是可以较好的成像,达到屋内观察屋外的目的。而从屋外看屋内时,此时该光学系统的出瞳离人眼较远,无法和人眼匹配,这使得屋外看屋内时人眼难以看清屋内的东西。
门窥镜主要的技术指标有以下两点:
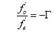
①视觉放大率:本案例中定为1/6,通过视觉放大率小于1的光学系统,屋内的人可以看到更大范围的屋外场景,此外令全视场为75°,这保证了屋内的人所能看到的视场足够大。
②轴上点MTF>0.15(2cycles/arc-minute),这是因为人眼的分辨率为2角分,因此大于2cycles/arc-minute的范围的MTF对人眼而言没有意义,而在人眼极限分辨率上MTF>0.15保证了人眼能看到清晰的像。
门窥镜作为目视光学系统,起到减小门外光线的视场角,使门内的人眼可以看清门外的场景、门外的人无法看到门内的场景。同时,由于门外的人相对于物镜的距离往往远远大于物镜的焦距,因此,门窥镜可以被设置为望远系统。由于门厚的限制,门窥镜的工作距离不能太大,因此选择伽利略望远镜系统。设视觉放大倍率为,于是物镜与目镜的像方焦距之比为:

物镜的像方主面与目镜的像方主面的间隔设为T,于是有:

指标要求的视觉放大倍率,市场上门厚一般为50-90mm,于是可选取

系统成像的相对位置如图1所示:

图1 系统成像的相对位置
其中,目镜出瞳的大小受眼瞳限制,目视光学仪器的出瞳直径与一般眼瞳直径相当,即出瞳直径为2~4mm,本设计中将瞳孔直径设为3mm。为了便于人眼观察,将出瞳设置在目镜后方10mm处。
为了便于计算,将光学系统倒置计算目镜和物镜的入瞳和出瞳。这时系统成像的相对位置如图 2所示:

图2 倒置的系统成像相对位置
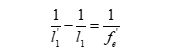
对于目镜系统,取:

由:


解得:

对于物镜系统,按类似的方法,同理可得:

门窥镜的常用透镜数为两片或三片,由于物镜的视场角较大,目镜的视场角较小,选取物镜的结构为两片玻璃的透镜组,目镜为单透镜。
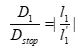
物镜的设计借鉴惠更斯目镜原理,通过计算设计焦距EFFL=-10mm的透镜组。根据上述计算结构,透镜组的入瞳与出瞳均在透镜组右侧,为了方便设计,设置出瞳位置EXPP=-72mm,出瞳直径EXPDmm。波长为可见光波段,半视场高度设置为0°、12°、24°和37.5°,入瞳直径根据出瞳直径做调整。其光路图如图3所示:

图3 物镜初始结构
根据视觉放大倍率与视场角的关系:

可以得到,目镜的视场为:

使用材料为K9,入瞳直径为3mm,设置入瞳到像面的距离为TOTR=70mm。目镜光路图如图4所示:

图4 目镜初始结构
【成像光学基础】平板玻璃会引入像差吗
先对物镜和目镜分别做优化,再进行整体优化。为了实现消色差的效果,将物镜第二片透镜的材料由K9替换为ZF14,这样可以实现冕牌玻璃与火石玻璃的组合消色差。在评价函数中将上述提到的EXPD、EXPP和EEFL固定,自动评价函数选取点列图评价函数。对于大视场光学系统优化,先开启光阑漂移,再进行优化。将透镜的各个表面及出瞳到像面的距离作为优化变量,进行优化后的光路图,点列图和MTF如图5、图6和图7所示:

图5 系统优化后的光路图

图6 系统优化后的点列图

图7 系统优化后的MTF曲线
可以看出在0度视场角的情况下,2cycles/arc-minute时MTF=0.6,因此光学系统达到了MTF的要求。放大率为0.167,满足放大倍率要求。同时入瞳位置位于第一面镜子右边9.56cm处,即在屋内,这保证了屋外的人眼无法和该光学系统满足瞳孔匹配要求,看不清屋内的物。
整个系统一共只用了三片球面透镜,成本很低,如果在优化时添加渐晕,则可以进一步提高边缘视场成像质量,这里就不再演示。
最后做个总结,本文对门窥镜的设计进行了详细介绍,从技术指标、初始结构选择与确定到设计与优化的过程进行了系统分析。通过对物镜和目镜的优化,以及整体系统的优化,确保了门窥镜在视觉放大率和成像质量上的性能。最后,对设计过程中的优化结果进行了展示和分析,验证了光学系统的性能指标得到了满足。猫眼虽小,但有着目视光学仪器的各种要素,特别是光瞳匹配,希望能对各位读者有所帮助。