一、历史背景
1893年,英国光学设计师H. Dennis Taylor产生了一个有意思的想法,就是如果一个物镜由一个正透镜和一个负透镜组成,它们具有相同的焦距和相同的折射率,那么这个物镜的Petizval和将为零,此时可以通过适当调整透镜之间的距离来获得所需的任何焦距(这个涉及到Petizval场曲的基本概念,大家可以思考一下为什么)。然而,经过一定的深入思考,Taylor很快意识到这种不对称的设计会导致使轴外像差和垂轴色差非常大,因此他将正透镜分成两部分,并将负透镜安装在它们之间,这就是著名的The cooke triplet lens。

在十九世纪到二十世纪初期,由于没有计算机的辅助,由于各种像差相互依存,任何表面的变化都会影响所有像差,三片式物镜的设计都还是比较困难的。设计师首先需要根据赛德尔像差找到合适的初始结构,这个过程往往就涉及大量的计算和实验。
二、像差特点及计算方法
虽然说现在设计一个镜头,很多情况都是找个初始结构进行优化,但是搞清楚一类镜头结构的原始计算方法,也有利于我们体会这种结构的特点。
库克三片式物镜的初始结构设计主要就是计算三个透镜元件的光焦度和间隔。一般情况下,孔径光阑位于中间的负透镜上,则此时我们可以给定一部分初始值,进而求解总焦距、垂轴色差、沿轴色差、Petzval 和以及畸变等控制条件。这样我们就列出几个方程,从而求得各个透镜的光焦度和间隔。剩下的三个初级像差--球差、彗差和像散则通过三个透镜共六个表面的曲率来校正。(还记得在背景里提到的吗,库克三片式就是针对Petzval 场曲提出的)
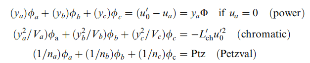
先假设各个透镜都是薄透镜,则有以下方程,这三个方程代表了系统的总光焦度、总色差和Petzval场曲,这就是设计的第一步:

其中三个透镜依次为a/b/c,y表示所追迹的光线在各个透镜上的高度。
举个计算的例子,我们假设要设计一个焦距40mm的镜头,F数为4.0,此时在上面三个方程里面,ya是已知的,我们需要确定yb和yc使下面两个方程成立。这里可以首先选定透镜材料,假设第一个和第三个透镜材料是H-ZK14,其中Nd=1.6031, Vd=60.633;第二个透镜材料为H-ZF2,其中Nd=1.6727, Vd=32.171。
除了材料,第二个和光焦度分配有关系的要素是两个间隔,这里我们先假设两个间隔相等。这可以给求解方程提供一个额外的条件。此外我们还可以给定光线高度的初始值,使yb=0.8ya, yc=0.9ya。
有了这两个额外条件,要求解全部未知数似乎还缺一个条件,这个条件可以是色差,可以是目标场曲,也可以是某个透镜的实际焦距。一种效果比较好的方式是,最好假设光瞳在中间的负透镜上,计算各个透镜对倍率色差的贡献度,以此调整光线高度的数值。
为了演示,这里我直接使第二个方程右式为0(仅仅是演示方便计算,由于到这里还没有考虑球差的问题,其实这样并不好),则此时三个透镜的焦距依次为36.0734mm, -19.2392mm, 23.1597mm,三个透镜所对应的两个间隔均为7.2147mm。此时的Petzval 和为0.0132。
更改初始条件使yb=0.75ya, yc=0.85ya,则此时三个透镜的焦距依次为30.0860mm, -16.1079mm, 22.1914mm,三个透镜所对应的两个间隔均为7.5170mm。此时的Petzval 和为0.0117,此时场曲减小了一些。

三、优化示例
把刚才第二个计算结果里面的理想透镜换成薄透镜,先让透镜厚度为0,验证一下色差矫正情况。



由于三个单透镜目前都是平凸或者平凹,整体的单色像差还比较大,所以下一步是结合视场,对像差进一步优化。若没有光学设计软件,这里就是不断改变透镜形状,计算随着曲率变化,球差彗差等的变化情况了。这里我直接优化一下。由于这个结构有利于控制场曲,仅有三片透镜就可以将视场做的相对较大,下面的结果全视场为40°,焦距40mm,F数4.0。除了最边缘视场,其他区域成像质量良好,当然这是由于有一些渐晕。



四、总结
总之,库克三片式物镜在光学设计史上占据着重要地位。通过对像差特点及计算方法的探讨,我们了解到库克三片式物镜的初始设计主要依赖于对场曲和色差的计算。在给定初始值并列出方程后,我们可以求得各透镜的光焦度和间隔。之后再通过不断改变透镜的弯曲程度校正球差、彗差和像散等像差。虽然说现在已经没有人手动计算这些像差了,但通过示例我想大家也可以得到一些体会,以至于可以将设计思想进行发散推广。