恒星的角直径是天文学中一个重要的物理量,它直接反映了恒星在天球上的表观大小。虽然恒星距离地球极为遥远,但通过精密的光学测量手段,我们依然可以估算出它们的角直径。传统的望远镜只能观测到点状的恒星影像,因此无法直接测量恒星的角直径。为了解决这一问题,光学干涉测量技术得到了广泛应用。通过测量恒星发出的光波相干性随空间距离的变化,天文学家能够间接推导出恒星的角直径。本篇文章将重点探讨如何利用光学干涉测量方法,特别是范西特-泽尼克定理,精确测量恒星的角直径。
一、范西特-泽尼克定理的提出
范西特-泽尼克定理(Van Cittert–Zernike Theorem)是光学相干性理论中的一个重要定理,起源于对光波相干性现象的研究。它最早由荷兰物理学家范西特(P. H. van Cittert)在1934年通过对天体光学干涉测量的分析提出,后来由另一位荷兰物理学家泽尼克(Frits Zernike)在1938年通过深入的理论推导得以完善。
在定理提出之前,科学家们对光的相干性有初步的理解,尤其是关于点光源产生的相干光波,但当面对扩展光源时,光波的相干性分析变得更加复杂。范西特-泽尼克定理的提出,正是为了描述扩展光源(如恒星、灯泡等)发出的光在远距离处的相干性特征。它填补了点光源与扩展光源相干性分析之间的空白,为干涉测量在天文学和其他领域的应用奠定了基础。
范西特-泽尼克定理描述了一个关键现象:远场中的扩展光源(如恒星)的空间相干性,即远处的观察者观测到的光波相干性如何随距离和光源结构的变化而变化。定理指出,尽管扩展光源内部的各个部分发出的光波是不相干的,但经过远距离传播后,这些光波会产生一定的部分相干性。这种相干性与光源的形状和光强分布的傅里叶变换直接相关。
定理表明,即便扩展光源发出的光波在其内部各点之间是不相干的,但经过远距离传播后,这些光波会在远场产生一定的部分相干性。这种现象可以通过傅里叶变换的形式描述:远场中测量到的相干度与光源亮度分布的空间傅里叶变换直接相关。因此,通过观测相干性的变化,可以推导出光源的几何特性,如恒星的角直径等。
二、范西特-泽尼克定理的数学描述
范西特-泽尼克定理的核心在于描述扩展光源发出的光在远场中的部分相干性,并且将这种相干性与光源的几何形状和光强分布联系起来。其数学描述基于相干性函数和光场的傅里叶变换,能够定量地描述光源在远处观察到的相干性分布。为了理解范西特-泽尼克定理,我们需要引入互相干函数 Γ(r1,r2)。它是描述在两个不同位置r1和r2处的电磁场之间的相干程度的函数。对于一束电磁波,相干度定义为:

相干度的取值范围是0≤∣γ∣≤1。当γ∣=1 时,两点之间是完全相干的;当∣γ∣=0 时,两点之间完全不相干。范西特-泽尼克定理表明,对于一个空间扩展的光源,其在远场区域的相干性与光源的几何形状及光强分布的傅里叶变换直接相关。
假设一个光源位于z=0 的平面上,光源的亮度分布为I(r),这里r是光源平面上的位置矢量。两个远场观察点r1和r2之间的互相干函数可以表达为:

这是一个傅里叶变换的积分,说明观察到的相干性是光源亮度分布的空间傅里叶变换。对于简单的远场条件,当 r1 和 r2 相距很远时,可以用两点的相对距离 B=r1−r2表示基线长度B,并且假设光源距离观测点足够远,观测到的相干性函数可以简化为:

这表明光源在远场观察到的相干性,正比于光源亮度分布I(r) 的二维傅里叶变换。通过上面的傅里叶变换,范西特-泽尼克定理揭示了远场中光波相干性的空间分布与光源的几何形状和亮度分布之间的联系。特别是,相干度的衰减速率反映了光源的大小。
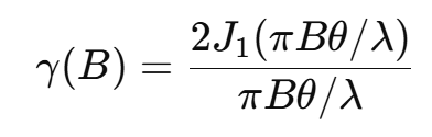
具体来说,扩展光源的相干度γ(B)会随着基线长度B的增加而逐渐减小。对于一个具有圆形对称结构且亮度分布均匀的光源,光源的亮度分布是一个常数I(r),其傅里叶变换是一个贝塞尔函数。因此,互相干函数在这种情况下可以写作:

其中,J1 是第一类贝塞尔函数,θ 是光源的角直径,λ 是光波的波长,B 是基线长度。这个方程描述了相干度随基线长度的变化。在干涉测量中,天文学家通过观察相干度函数的衰减来测量扩展光源的角直径。当相干度γ(B)降为零时,正是相干条纹消失的位置,这通常对应于贝塞尔函数的第一个零点。通过测量相干度的第一个零点所对应的基线长度B,可以推导出光源的角直径θ:

范西特-泽尼克定理与部分相干理论密切相关。部分相干性是指光波在空间或时间上并非完全相干,也不是完全不相干,而是介于两者之间。扩展光源发出的光波正是部分相干的典型例子,远场中的部分相干性为天文干涉测量提供了一个重要的理论工具,使得天文学家能够通过光的相干性研究天体的结构。

三、利用范西特-泽尼克定理计算恒星的角直径
利用范西特-泽尼克定理计算恒星的角直径是其在天文学中的经典应用。通过干涉测量仪,我们可以测量光波的相干度随基线长度的变化,并利用傅里叶变换关系推导出恒星的角直径。
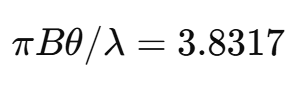
假设我们使用干涉仪测量一颗恒星的角直径。已知干涉仪的光波波长为λ=500 nm,基线长度为B=100 m。测量结果表明,当基线长度为 B=100 m时,相干度降为零,说明干涉条纹消失。
根据范西特-泽尼克定理,恒星的相干度γ(B)随基线长度的变化遵循贝塞尔函数的形式。当相干度降为零时,贝塞尔函数达到其第一个零点。此时满足:


将角度转换为角秒:

通过干涉测量,我们计算出恒星的角直径约为0.001260.00126 角秒。这表明,即使恒星距离地球极其遥远,通过相干性变化的观测,我们依然能够精确测量它的角直径。
【成像光学基础】光学系统中的调制传递函数(MTF)曲线
【成像光学基础】光学系统的分辨本领
四、总结
范西特-泽尼克定理揭示了扩展光源在远场中的部分相干性,并将其与光源的几何特性建立了定量的关系。该定理是光学相干性理论中的重要基石,特别是在天文学的光学干涉测量中得到了广泛应用。通过测量恒星等扩展光源的相干度衰减,天文学家可以推导出其角直径等重要物理参数。这一理论为我们理解宇宙中天体的结构和性质提供了一个有效的工具,具有深远的科学意义。