随着自动驾驶、机器人等技术的蓬勃发展,激光雷达作为一种高精度、抗干扰能力强的传感器,在导航、避障等领域发挥着越来越重要的作用。本文将深入探讨激光雷达的测距方法,并介绍其发展历史、现状以及两种主流的测距原理:三角法和飞行时间法。
一、激光雷达技术的发展历史与现状
激光雷达(Light Detection and Ranging, LIDAR),其基本原理是利用激光的反射原理来测量目标距离和速度。它向目标发射激光脉冲,并测量激光脉冲往返于激光雷达和目标之间所需的时间,从而计算出目标与激光雷达之间的距离。此外,通过分析激光脉冲的反射强度和反射角,还可以获取目标表面的形状、材质等信息。
激光雷达技术起源于20世纪60年代,最初应用于军事领域,主要用于目标探测、跟踪和识别。随着技术进步和成本降低,激光雷达逐渐进入民用领域,并在多个领域展现出巨大的应用潜力。例如,在自动驾驶领域,激光雷达可以用于车辆环境感知、路径规划和障碍物检测,提高车辆的安全性和可靠性;在机器人领域,激光雷达可以用于机器人导航、避障和地图构建,帮助机器人更好地适应复杂环境;在地理信息领域,激光雷达可以用于地形测绘、森林监测和城市规划,提供高精度的三维数据。
目前,激光雷达技术正处于快速发展阶段,涌现出许多知名厂商和研究机构,例如美国Velodyne Lidar、Quanergy公司、德国Ibeo公司以及中国的禾赛,速腾聚创等。这些厂商和研究机构不断推动激光雷达技术的创新和应用,使其在性能、价格和应用领域等方面取得显著进展。

美国Velodyne Lidar公司产品

美国Quanergy公司产品
二、传统的光学测距方法——三角法
三角法测距是一种基于几何光学原理的测距方法,激光三角测距法主要是通过一束激光以一定的入射角度照射被测目标,激光在目标表面发生反射和散射,在另一角度利用透镜对反射激光汇聚成像,光斑成像在CCD(Charge-coupled Device,感光耦合组件)位置传感器上。当被测物体沿激光方向发生移动时,位置传感器上的光斑将产生移动,其位移大小对应被测物体的移动距离,因此可通过算法设计,由光斑位移距离计算出被测物体与基线的距离值。由于入射光和反射光构成一个三角形,对光斑位移的计算运用了几何三角定理,故该测量法被称为激光三角测距法。
按入射光束与被测物体表面法线的角度关系,激光三角测距法可分为斜射式和直射式两种。

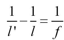
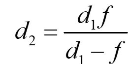
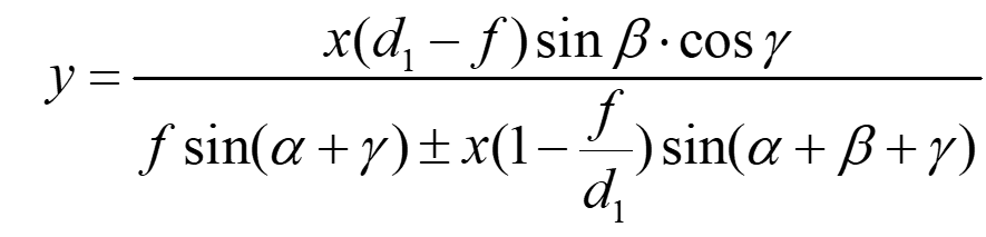
根据高斯成像公式:

可以得到:

由相似关系可得:

联立化简得:

其中,当γ=0时,即为直射式测距公式。
三角法测距由于其结构简单、成本较低等优点,被广泛应用于各种场景。但是三角法测距的精度取决于光学系统的分辨率和测量角度的精度,难以达到毫米级的精度。同时三角法测距需要目标表面具有一定的反射特性,对于表面不光滑的目标,例如毛绒、织物等,测距效果较差。此外三角法测距容易受到环境光的干扰,例如阳光、灯光等,需要在一定程度上进行抗干扰处理。
三、飞行时间测距法
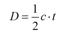
飞行时间法(Time-of-Flight, ToF)是激光雷达最常用的测距方法,其基本原理是:向目标发射激光脉冲,并测量激光脉冲往返于激光雷达和目标之间所需的时间,从而计算出目标与激光雷达之间的距离。
假设激光雷达向目标发射一个激光脉冲,该脉冲经过时间t后返回到激光雷达。根据光速c的定义,光在真空中的速度为c,则在时间t内,光脉冲往返的总距离为2d(d为目标与激光雷达之间的距离)。利用时间测量装置测量激光脉冲发射时刻和接收时刻间的时间间隔,就可以计算得到与目标间的待测距离为:


c为测量环境中光的传播速度;t为测量的激光脉冲飞行时间。该方法结构简单、计算方便,但是对时间测量精度要求较高,极小的时间偏差可引起较大的距离误差。
飞行时间法测距的精度是衡量其性能的关键指标,然而,这一精度受到多种因素的影响,需要细致的分析和精确的控制才能确保测距结果的准确性。首先,时间测量精度是核心因素之一,高速光电探测器和计时器的使用直接关联到测距的精确度。同时,光速测量精度也同样重要,因为光速会受到空气密度、温度、湿度等因素的影响,因此,对光速的校准是提高测距精度的必要步骤。
除了时间和光速校准,激光器和接收器的特性也对测距精度有着显著影响。激光器的功率、脉冲宽度和光束发散角,以及接收器的灵敏度、动态范围和噪声水平,都是需要精心选择和优化的重要因素。此外,多径效应和目标特性也是不可忽视的误差来源。在复杂环境下,激光脉冲可能会被目标表面反射多次,导致测量结果出现偏差。高反射率的目标更容易产生多径效应,而复杂形状的目标则可能导致信号衰减,多径效应是 ToF 测距的主要误差来源之一,需要采取相应的措施进行抑制。
环境因素对测距精度的影响也不容小觑。强烈的太阳光、人工光源、雾霾、沙尘暴以及雨雪等,都可能对激光雷达的信号造成干扰或衰减。为了应对这些环境挑战,可以采取多种措施,如选择特定波长的激光、使用光学滤波器、信号处理算法等,来抑制环境光干扰和大气散射的影响。
我曾和某位在国内某龙头激光雷达公司的朋友交流,他表示在他的日常工作中,激光雷达系统设计的关键点在于杂散光的抑制,可能自己30%的工作是使用ZEMAX进行的,另外70%是使用lighttools。所以说对于光学设计师,会使用杂散光分析软件也是很重要的。除了下面的文字内容,11月我也上传过几个关于杂光分析的视频,大家感兴趣可以在B站找找看。
四、总结
激光雷达技术作为现代传感器技术的重要组成部分,其发展历程和应用领域展现了科技的不断进步和创新。从军事领域的应用到民用领域的广泛渗透,激光雷达技术已经证明了自己的价值和潜力。通过本文的探讨,我们可以看到,无论是传统的三角法测距,还是目前广泛应用的飞行时间法测距,每种技术都有其独特的优势和需要克服的挑战。
随着技术的不断进步,激光雷达的精度、性能和可靠性将不断提高,并在更多领域发挥重要作用,推动智能化时代的到来。光学系统作为激光雷达系统设计的关键环节,对于提高测距精度和系统性能具有重要意义。通过专业的杂分析软件,如ZEMAX和LightTools,光学设计师能够有效地抑制杂散光,优化系统设计,从而提升激光雷达的整体性能。