黑体辐射是物理学中的一个基础概念,它描述了一个理想化的物体(黑体)在不同温度下吸收和发射电磁辐射的特性。黑体辐射的研究不仅在热力学和量子力学中占据重要地位,还在材料科学、天文学和工程领域有着广泛的应用。从日常生活中暖炉发出的红光,到遥远恒星的光谱分析,黑体辐射的理论贯穿了我们对光与热的理解。
在光学设计中,我们常常需要用到黑体辐射的理论,例如红外系统测试,辐射定标,黑体辐射源设计等,本文将深入探讨黑体辐射的定义、物理机制、数学描述及其在现代科技中的应用,希望对大家有所帮助。
一、黑体的定义与特性
当温度一定时,入射到一个物体表面的红外辐射将发生吸收、反射和透射三种物理现象,其光谱吸收率、光谱反射率、光谱透过率之和等于1。这一基本原理揭示了物体与辐射相互作用的本质。具体来说,光谱吸收率表示物体吸收特定波长辐射的能力;光谱反射率表示物体反射特定波长辐射的能力;而光谱透过率则表示物体允许特定波长辐射透射的能力。这三种特性共同决定了物体在不同波长下的辐射行为。
理想黑体是一个能够完全吸收所有入射电磁辐射的物体,无论辐射的波长和入射角度如何,它都不会反射或透射任何辐射。换句话说,黑体的光谱吸收率为1,反射率和透过率均为0。这一理想化的物理模型为我们提供了一个研究热辐射的理想平台,因为它消除了反射和透射等复杂因素的干扰,使得辐射的测量和理论分析更为直接和简便。
在实际应用中,完全符合理想黑体特性的物体是不存在的,但某些物质(如炭黑、烟尘)可以近似地模拟黑体的行为。灰体则是指那些辐射特性与黑体相似,但通常会引入一个介于0到1之间的辐射率参数的实际物体。这个参数描述了实际物体与理想黑体之间的差异,使得灰体的辐射特性更加接近实际情况。
黑体的辐射特性仅依赖于其温度,而与材料的化学组成、表面状况等因素无关。这一温度依赖性是黑体辐射研究的核心,它揭示了热能与光能之间的深刻联系。在不同温度下,黑体辐射的光谱分布会发生显著变化,这种变化遵循特定的物理规律,为理解光与物质的相互作用提供了关键线索。

二、热辐射的基本规律
黑体辐射的强度和光谱分布随温度的变化遵循几个基本定律,这些定律构成了热辐射理论的基石。
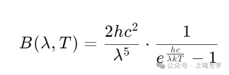
普朗克定律
普朗克定律提供了黑体辐射强度随波长和温度变化的精确描述,给出了黑体辐射与温度、波长的定量关系。该定律通过引入量子概念,成功解决了经典物理学无法解释的“紫外灾难”问题。普朗克定律的数学形式为:

我们可以在matlab中编程仿真一下普朗克定律,输出的普朗克函数如下图所示:

从图中可以看到,5700K的黑体,在500nm波长处具有最高的辐射出射度,能量主要集中在可见光波段。而当我们把黑体辐射温度改为400K,如下图所示,可见此时能量主要集中在红外波段。

总结一下:从普朗克定律看,只要物体的温度没有达到绝对零度,物体就有电磁辐射发射。随着温度升高,辐射峰值向短波方向移动,辐射中包含的短波成分增加。不同温度对应的黑体辐射曲线不相交,曲线下面积为该温度全光谱辐射出射度。
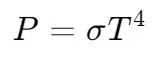
斯特藩-玻尔兹曼定律
斯特藩-玻尔兹曼定律描述了黑体辐射的总能量与温度之间的关系。该定律指出,黑体的辐射功率(单位时间单位面积发射的总能量)与黑体温度的四次方成正比。该定律本质上描述的是普朗克定律的波段内能量,数学表达式为:


其中,P 是辐射功率,T是黑体的绝对温度,σ是斯特藩-玻尔兹曼常数。这一定律表明,温度的微小变化会导致辐射功率的显著变化,这也是为什么高温物体(如恒星)能够发出强烈光芒的根本原因。
这个公式还是非常好记的,又叫四次方公式,σ的数值很有特点,恰好是5678四个数字。
维恩位移定律
维恩位移定律揭示了黑体辐射光谱峰值位置与温度的反比关系。随着温度的升高,黑体辐射的峰值波长会向短波方向移动。该定律描述的本质上是普朗克定律的单一极大值,具体关系式为:

式中b=2897(单位:um*K),这里,λmax是辐射强度最大的波长,例如,当温度为 5000K 时,峰值波长大约为 580nm(黄光区域),而当温度升至 6000K 时,峰值波长则移至约 480nm(蓝光区域)。这一规律解释了为什么高温物体(如蓝巨星)呈现蓝色,而低温物体(如红矮星)呈现红色,这也是色温这个概念的由来。
三、黑体辐射的应用
黑体辐射理论在现代科技中有着广泛的应用,以下是一些典型实例:
红外热成像
红外热成像技术利用物体发射的红外辐射来生成热图像,广泛应用于军事侦察、工业检测、医疗诊断等领域。通过分析物体的红外辐射特性,可以实现非接触式的温度测量和热分布监测。

在红外成像领域,辐射源是无处不在的,进而引发的杂散光也和黑体辐射定律有关,这也就延伸出了红外制冷技术。总的来说,红外热成像技术将人眼的观察范围扩展到红外光谱区,极大地提高人眼观察的灵敏度,获得了客观世界与热运动相关的信息。
光学测试
针对热成像系统,黑体辐射源在光学测试中扮演着至关重要的角色。它被广泛用于校准和检测各种光学仪器的性能,如光谱仪、光度计等。通过将光谱仪对准黑体辐射源,可以获取不同波长下的辐射功率,从而评估光谱仪的灵敏度和波长分辨率。
此外,黑体辐射源还可以用于高温环境下的材料光谱发射率测量。例如,通过集成,可以实现高温环境下的高精度发射率测量,其核心组成包括高温黑体、样品加热炉、控温光阑、光学成像与分光系统等模块。
在太赫兹波段,黑体辐射源的测试方法也得到了深入研究。例如,通过斩波器对黑体的太赫兹辐射进行周期性调制,结合滤光片和锁相放大器,可以提取有效的太赫兹信号。这种方法被广泛应用于太赫兹波段的辐射测量和探测器校准。
宇宙背景辐射研究
宇宙微波背景辐射是大爆炸理论的重要证据之一。通过对这一黑体辐射的精确测量,科学家们能够揭示宇宙的起源、演化以及暗物质和暗能量的性质。
星体温度测量
天文学家通过分析恒星和行星的光谱,利用斯特藩-玻尔兹曼定律和维恩位移定律,可以准确测量它们的表面温度。这一方法为恒星分类和演化研究提供了关键数据。
四、总结
黑体辐射作为物理学中的一个基础而重要的概念,贯穿了从经典热学到量子力学的多个领域。它不仅为我们理解光与热的相互作用提供了理论框架,还在现代科技中展现出巨大的应用潜力。从日常生活的暖炉到浩瀚宇宙中的恒星,黑体辐射的理论帮助我们揭示了热能与光能之间的深刻联系。随着量子技术的不断发展,黑体辐射的研究将继续为科学技术的进步提供新的动力。希望本文的介绍能够帮助读者更好地理解这一物理学中的瑰宝,并激发对自然世界更深层次的探索。