最近在帮一位朋友改论文,我发现了一个问题,就是我们讨论光学系统时,会涉及到很多跟角度有关的参数,我们可能会直接用这些概念,但是到底这些概念指的是什么,可能还是会被很多人忽略的。今天我就抛砖引玉,整理一下与角度有关的参数及其概念,欢迎大家在评论区补充,文中在不同的地方也给出了一些我们之前写过的文章可供扩展阅读,大家可以收藏一下哦~
一、费马原理——入射角/出射角/反射角
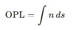
在理解光学系统的各种与角度有关的参数前,我们需要明确光传播的基本规律。费马原理(Fermat’s Principle)是几乎所有几何光学规律的根源,它指出:光在介质中沿着光程取极值的方向传播。光程(Optical Path Length, OPL)的定义为:

其中n为介质折射率,ds为微元长度。费马原理说明光不会沿着任意路径传播,而是会选择一个使 OPL 稳定的路径。因此,从费马原理可以自然推导出两条非常熟悉的光学定律:
(1)反射定律
设光从介质中射向一理想镜面,镜面入射点为关键点。由于入射路径与反射路径的变化会影响总光程,因此对入射点位置进行变分,令光程达到最小可得:

即入射角等于反射角,且二者均在入射面内。这里的入射角θi和反射角θr指的是光与入射面法线的夹角。
(2)斯涅尔定律
若光从折射率n1的介质进入折射率n2的介质,根据费马原理在界面的入射点处进行变分,可得著名的斯涅尔定律,即折射定律:

折射角通常也是“出射角”概念的原型,用于描述光从不同介质出射后的方向偏转。
由于折射率是波长的函数,对于不同的波长,折射角也会有所差异,这就是色差的来源。利用这个性质,我们也可以用棱镜进行分光,下面的案例是我仿真过的一个实验室光路搭建方式:

用Zemax搭建一个棱镜色散系统光路
二、孔径角
孔径角(Aperture Angle)描述光束通过光学系统某一光阑或透镜时,其入射至光学中心的最大锥角范围。它反映系统允许进入的光线倾斜程度。实际上,孔径角的物理意义与出瞳和入瞳大小是一致的。
浅谈孔径光阑-以硬质内窥镜为例

设物点到光学系统入瞳的距离为s,入瞳半径为r,物方孔径角定义为:

这里还涉及到一个符号规则的问题,在国内沿用苏联惯例,光线与光轴的夹角:如U,以光轴为始边,从锐角方向转到光线,顺时针转成者为正,逆时针转成者为负;光线和法线的夹角:如I和I’,以光线为始边,从锐角方向转到法线,顺时针者为正,逆时针者为负。
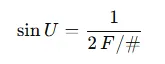
当角度较小时,U≈tanU≈sinU,例如著名的阿贝正弦条件,推导时即采用了这样的近似。像方孔径角的定义同理,根据定义,像方F数和孔径角U'之间可以有如下近似公式:

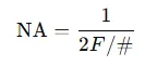
有时我们习惯使用数值孔径描述光学系统的分辨率,或光纤的通光能力,根据数值孔径的定义,假设介质为空气,折射率为1,此时有:

在光学相关的资料中,这可能是大家最常用的公式之一。
三、视场角
视场角(Field of View, FOV)用于描述光学系统可观测空间范围的大小,反映系统能看到的“视野”。
假设光学系统像高已知(即探测器规格固定),同时焦距已知,则可以计算理想状态下的物方视场角:

同理,若指标给定物方视场要求,我们也可以选取探测器和焦距。

但是必须提醒大家,这里我们没有考虑畸变的影响,同时,如果我们需要设计激光扫描物镜,或者鱼眼镜头,也不能直接这样换算。
【成像光学基础】F-theta畸变的概念及应用
四、束散角
与常规成像镜头不同,在与激光有关的应用中,我们还需要考虑高斯光束的特性,束散角(Beam Divergence Angle)用于描述激光或准直光束的发散程度,是激光系统中非常重要的角度参数。
理想高斯光束的远场发散角为:

其中w0为束腰半径,上式说明高斯光束束腰越细,发散角越大。因此我们可以很自然的得到一个想法,如果我们想要压缩远场发散角,就需要对高斯光束进行扩束。在一些远距离激光传输的场景,我们也经常能看到以很大口径输出的高斯光束,这就是为了控制发散角,在接收端获得更多能量。
另外,实际的高斯光束总是和理想高斯光束有偏差,这时候我们可以引入一个M2因子描述:

M² 越大,光束质量越差、发散越明显。
与M2因子等价的参数还有BPP,BPP(Beam Parameter Product)定义为束腰半径与远场发散角的乘积,即 BPP = W × θ,其中W为束腰半径,θ为远场发散角。代换后可得:

在激光光束质量测试中,这是最容易直接获取的参数,因此在实际工程中得到了广泛使用。
如何用Zemax仿真高斯光束的传播
【光学设计技巧(3)】高斯光束的切趾因子是什么含义||之晓光学
五、衍射与色散角
目前传统光学系统的发展方向主要是一大一小,一大指的是大口径,大视场,高分辨率,一小指的是小型化,轻量化。其中一种有效的技术路径是衍射光学元件的使用,例如衍射主镜,超透镜,超表面等。这些元件与传统器件对波前调制的原理不同,可以起到良好的效果。
未来镜头发展方向-微纳光学技术概述
除了微纳相关的器件,其实我们生活中最长接触到的衍射元件是光栅,尤其是在各种高光谱成像,成分分析,浓度检测中,光栅往往作为光谱相机的核心器件。
如何设计一个近红外光谱仪——DMD编码型
【光学知识】光谱维度的信息是如何获取的——高光谱成像原理||之晓光学
在进行光谱仪光学系统设计时,需要根据光栅方程进行计算,以确定反射镜和光栅参数情况。首先有光栅方程:

上式中假设一束光束的入射角固定(准直后的光束入射到平面光栅上),则出射光束的出射角是波长的函数,不同波长被衍射到了不同的方向上,利用这个性质,我们就可以获取光谱信息。
例如,我们现在要设计一个反射式近红外光谱仪,输入光纤的数值孔径NA=0.20,可以计算第一个反射镜的焦距和曲率半径,选取第一反射镜直径为15mm,则有:

对于第二反射镜,根据光栅方程有:

探测器长度根据指标确定为6.4mm,因此第二反射镜有焦距:

为了实现交叉C-T结构,两个反射镜具有一定倾斜量,考虑到像差控制,使第一反射镜倾斜10°,第二反射镜倾斜15°。由于系统整体不具有对称性,将产生明显的像散如图2-4所示,因此在焦面前加入柱面镜进行校正。综上所述初始结构参数如表2-1所示。

六、总结
在光学系统中,围绕“角度”这一概念有着许多不同的参数,这些角度参数不仅代表几何意义上的方向和范围,更深层次地决定着系统的成像性能、通光效率、光束质量以及功能性表现。理解这些参数之间的关系,有助于我们更准确地分析问题、优化设计、提升光学产品的整体水平。
光学中的各种角度,绝不是孤立的概念,每一个角度都折射着系统性能的一部分。期待更多业内朋友在实践中分享经验,也欢迎在评论区补充讨论,让我们一起把光学系统讲得更清晰、更深入。