在往期文章中,我们已经介绍过不少与激光有关的内容了。在实际激光相关的项目中,我们经常需要对激光常用参数进行计算,例如快速计算不同传输距离的光斑大小,束腰、发散角等。
本期文章将在此基础上,将详细拆解高斯光束的束腰、瑞利范围、远场发散角等关键参数的物理意义,再推导核心计算公式,最后提供可直接复用的 MATLAB 计算逻辑 —— 无论你是需要验证光学设计软件中的仿真结果,还是在课题和工作中快速估算光束参数,都能找到实用的解决方案。
一.高斯光束核心特性与理论
高斯光束是激光的基本传播模式,在设计激光领域的光学系统中,其特性由一系列核心参数决定。束腰半径、瑞利范围、远场发散角不仅是光学设计的基础输入量,更是连接理论计算与工程实践的关键桥梁。
1.束腰半径(w₀)
束腰半径是高斯光束最核心的参数,指光束在传播路径上光强降至中心最大值 1/e² 处的光斑半径最小值。这一位置是高斯光束的 “基准面”—— 所有传输过程中的光斑大小、相位分布都以束腰为参考基准,实际应用中常将激光器出射端面、光纤输出端口视为束腰位置(对应往期激光扩束和整形技术中 “以激光器出口为束腰” 的工程假设)。

图1 w₀位置即为束腰位置
束腰半径的定义式直接关联光强分布:

I0为束腰中心最大光强,r为光斑径向坐标,z=0表示束腰所在平面,r=w0时:

这一阈值是光学设计中 “光斑有效口径” 的通用判定标准。(例如 Zemax 中高斯切趾因子=1 时,即对应此口径定义,呼应参考文章一的切趾因子设置逻辑,具体可参考如何用Zemax仿真高斯光束的传播)
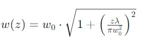
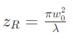
2.瑞利范围(z_R)
瑞利范围是区分高斯光束 “近场传输” 与 “远场传输” 的关键参数,定义为从束腰位置(z=0)到光斑半径增大至√2 w₀(即光强降至中心 1/2,面积为束腰的两倍处)处的传输距离。在 z∈[-z_R, z_R] 范围内,高斯光束的光斑大小变化平缓,可近似为 “准平行光”;超出该范围后,光斑将按线性规律发散,进入远场传输阶段。

由高斯光束传输公式:

带入可以得到:

进一步化简可得:

举一个具体的例子,若氦氖激光器(λ=632.8nm)的束腰半径 w₀=1mm,则 z_R=π×(1e-3)²/632.8e-9≈4.97m,即该光束在 5m 范围内可近似为准平行光,超出后需考虑发散效应(这与我们之前文章如何用Zemax仿真高斯光束的传播中 “瑞利范围外可近似为点光源发散” 的仿真逻辑一致)。
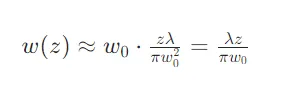
3.远场发散角
远场发散角是描述高斯光束远场传输特性的核心参数,定义为远场(z>>z_R)中光斑半径随传输距离的线性增长速率,即光斑边缘的传播方向与光轴的夹角。这一参数直接决定激光的 “传播距离极限”—— 发散角越小,光束在远距离传输后的能量集中度越高。
在长距离激光传输中,例如空间光通信领域,一般需要对远场发散角进行抑制,同时搭配大口径收发系统使用。
根据下式:


则可以得到:

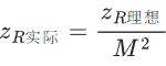
4.光束质量
实际应用时,理想高斯光束在现实中并不存在,实际激光光束需通过光束质量因子 M² 修正,M² 定义为实际光束与理想基模高斯光束的偏离程度,理想光束 M²=1,实际光束 M²≥1 且数值越大光束质量越差,不同激光器的 M² 有固定参考范围,单模光纤激光器 M²≈1.05~1.2,多模半导体激光器 M²≈3~10,大功率固体激光器 M²≈5~20。
M2因子的计算应用非常简单,这也是在光学设计软件中,近轴高斯光束追迹功能的依据(如何用Zemax仿真高斯光束的传播):

与M2因子等价的,还有BPP,光束参数积(BPP)是激光光学设计的一个不变量,定义为束腰半径 w₀与远场发散角 θ 的乘积,公式为:

行业通用单位为 mm・mrad,结合远场发散角公式可推导其与 M² 的关联:

BPP 的核心特性是无像差光学系统中守恒不变,即:

这一规律直接解释了激光扩束与聚焦的本质,激光扩束系统增大束腰半径时,发散角成反比减小;聚焦系统减小束腰半径时,发散角成反比增大。
从上面的分析中可以看出来,描述激光最核心的参数就是束腰半径,高斯光束的所有核心参数以束腰半径 w₀为源头,串联起光斑传输、瑞利范围、远场发散角等特性,经 M² 因子修正为实际光束参数,再通过BPP指导工程设计。
在工程中,更关注是聚焦光斑大小和景深范围,根据这一节的内容,我们就可以给出计算方法了。
二.光斑大小与焦深
在激光加工、激光扫描等领域,我们更关注的激光光斑最终的大小和范围,因此我们也有必要说明这两个参数的计算方法。
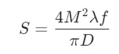
在高斯光束理论中,激光束经过透镜聚焦后的物理特性主要由焦点光斑直径与焦深这两个关键参数表征。激光束在透镜处的入射直径、激光波长、透镜焦距以及光束质量因子共同决定了聚焦系统的衍射极限性能。根据高斯光束传播方程,焦点处的最小光斑直径计算公式如下:


该关系式表明,光斑尺寸与波长及焦距成正比,而与入射光束直径成反比。这意味着在波长固定的情况下,通过增大入射光束直径(如使用扩束镜)可以有效减小聚焦后的光斑尺寸,从而提升加工的精细度。
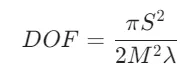
与此同时,焦深(Depth of Focus)表征了激光在焦点附近的纵向稳定性,即光斑直径在轴向传播过程中保持在一定范围内(通常为直径增大不超过√2倍)的物理长度。焦深与光斑大小及波长的关系公式如下:

由此可见,焦深与焦距的平方成正比,并与入射光束直径的平方成反比。在实际工程应用中,极细的光斑往往对应着极短的焦深,这要求系统具备更高的纵向定位精度。
三.计算案例
把上面全部参数放在一起,用户可以自行定义光束质量,束腰半径,波长等参量:

在默认输入模式下,波长为1064nm,束腰半径1mm,M2因子为1,这三项定义了该高斯光束的基本特性。进一步考察在特定位置的光束大小,或者考察在特定焦距的透镜聚焦下,光斑的直径以及焦深,可以进一步输入传输距离和透镜焦距。
给出的对应输出如下:

该计算工具我们已经打包上传在之晓光学工具箱。大家可以免费下载,完善后我们也会直接放在小程序计算工具模块供大家使用。