二元光学元件(Binary Optical Elements,简称BOL)在现代光学设计中逐渐展现出其独特的优势。传统的光学系统通常依赖于折射和反射原理,而二元光学元件则通过在基底上刻蚀周期性结构,利用衍射原理实现光的调控。这些元件不仅能够简化光学系统的设计,还能在某些方面大幅提高性能,尤其是在色散校正和杂散光控制等方面展现出独特的能力。因此,深入了解二元光学元件的光学特性以及其在实际设计中的应用,对于现代光学系统的优化具有重要意义。
一、二元光学元件的光学特性
在目前的光学设计中,我们最常用的衍射元件可能是各种光栅,大家都知道,光栅是在基底上刻蚀出的各种周期性结构。如果光栅的各个周期又是同心环带时,就可以像轴对称透镜一样来使用。这就是可用于成像系统的BOL(Binary Optics Lens)。与传统的折射和反射式成像光学元件相比,BOL有许多独特的性质。
如果大家了解过傅里叶光学,就会知道透镜对于光的位相调制作用,假设入射和出射的光都是球面波,经过透镜变换,入射光波和出射光波可以写作:


那么,忽略掉常数因子A,我们可以根据这两个球面波方程写出透镜对光的透过率函数:

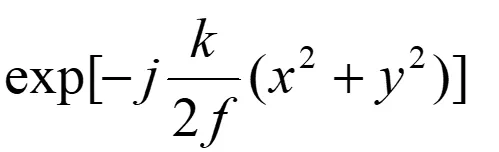
在上式中,把物距和像距转化为焦距,同时我们可以把位相变换因子单独拿出来看,即这一项:

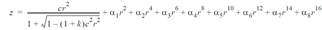
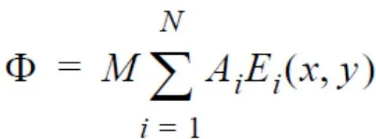
在Zemax中,软件本身提供了几种面型,这些面型可以在偶次非球面的基础上设置额外的位相变换,例如Binary 2面型,它的位相表达式如下:

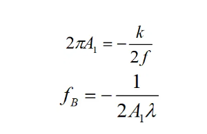
假设衍射级次为+1,比较该式与上面的位相因子,我们可以写出二元面的焦距的表达式:

k是波数,我们在上式中可以看出二元面的焦距和波长成反比,因此比起普通的玻璃,二元面具有强烈的反常色散作用,这是二元面最显著的一个光学特性,应用这个特性,我们可以实现相差很大的两个波长之间的消色差,例如在长波红外和中波红外之间。
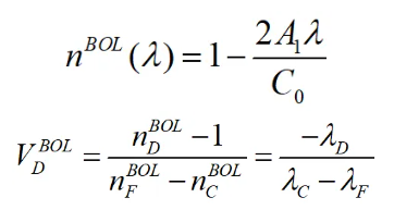
在上式的基础上,我们可以进一步写出BOL的等效折射率和阿贝数:

BOL的色散非常有特点,同样的,BOL也有独特的热差特性,这两部分内容我打算之后再单独写文章展开介绍。此外,经过一定推导分析我们还可以给出BOL的初级像差特性,这里就相对繁琐,不再展开说了,感兴趣的读者可以查阅参考文献。
二、二元面的描述
二元光学透镜的微结构往往在波长量级,一般情况下,我们是无法用标量衍射理论去分析它的衍射效率、加工误差、杂散光等特性的。但是在光学设计软件中,通过位相变换,我们仍可以实现二元光学透镜某个衍射级次的光线追迹。ZEMAX与CODEV软件均包含衍射光学功能,因此我们也可以在光学设计软件中设计优化折衍混合系统。
Zemax中几种二元面的基底表达式与偶次非球面相同,它们的位相表达式的区别如下:

Binary 1(平面直角坐标表示形式)

Binary 2(回转对称的表示形式)

Binary 3(双回转对称中心的表示形式)

考虑到实际加工,目前在红外波段采用单点金刚石车削的方法已经可以较为快捷廉价地加工回转对称的二元面了,因此一般设计的时候我们采用Binary2面型进行设计。这个面型需要我们编辑的参数有归一化半径(和位相表达式中的变量有关),最高次项(即式中N的值),衍射级次和多项式的系数。这里参数是否合理最终还是要看二元面设计结果,即最小环带上的结构是否可以加工,后面我也会写一篇文章讲一下二元面的加工工艺问题。

三、设计实例
为了让大家更直观的体会二元透镜的光学特性和在光学设计软件中的设计优化过程。我们一个例子。假设我们要设计一个F/#=4,全视场1°,焦距100mm的中波红外系统,如果我们采用锗作为透镜材料,只用一片透镜,先进行一下优化。


可以看到点列图还是比较大的,而且在像面上具有明显的色差,然后我们把第二个面改成平面基底上加工的二元面,重新优化一下,如下图,虽然依然只有一片透镜,但由于二元面本身的色散作用,可以补偿透镜本身的色差,系统像差得到了良好的优化,各个视场下的点列图RMS半径均已小于了艾里斑半径。另外我们可以看出,随着衍射面的使用,透镜前表面的弯曲程度也有所减少,这说明使用衍射面对于校正初级单色像差也具有意义。



四、总结
通过本文的分析,我们能够更好地理解二元光学元件的独特光学特性以及其在实际设计中的应用。二元光学透镜不仅在色散控制和像差校正方面表现出色,还能够通过光学设计软件实现更为复杂的光线追迹和系统优化。虽然二元光学元件的设计和加工存在一定的挑战,但随着技术的发展,尤其是在红外波段的应用前景广阔。未来,随着加工技术的进步和设计方法的优化,二元光学元件将在更广泛的光学系统中发挥更重要的作用。