温度变化对光学系统产生的热效应主要分为两个方面的影响,一是折射率随温度变化,二是光学元件或者机械结构的尺寸厚度随温度引起的热膨胀作用。不论是折射率变化或者是尺寸厚度的变化,都会导致光学系统成像质量变化。本文我就接着上次的话题,聊一聊二元面对与无热化是否也有好处,如果觉得有帮助,还请多多转发支持,之后我也会进一步写写微纳元件的仿真和加工工艺问题。
一、光学元件的热差理论
光学无热化也称作消热差设计,在各种无热化技术中,光学被动无热补偿技术的结构简单、体积小、重量轻,被广泛使用。为了介绍DOEs随着温度变化的光学特性,在这里我先介绍一下对于一般元件来说,热差特性如何描述。在之前的文章里,我已经在实用的角度介绍过无热化的方法,大家感兴趣可以看这篇文章。
光学系统的无热化简介(已修订)
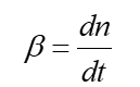
热差特性其实可以和色差进行类比,如果对色差不是特别清楚,可以看下面这篇文章。我们定义热光系数为折射率随温度变化,也称作折射率温度系数,即:
【成像光学基础】色差的计算与矫正

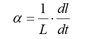
同时温度变化会引起光学元件厚度、光学表面面型、空气间隔长度的变化,这些由材料自身的热膨胀系数引起。材料的热膨胀系数为:

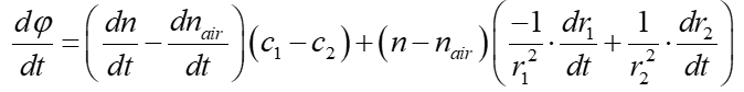
单透镜的光焦度可以表示为:

式中,c1、c2是透镜前后表面的曲率;对上式两边取温度t的全微分,得:

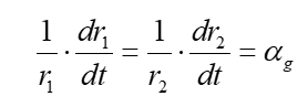
其中,r1、r2是透镜前后表面的曲率半径,且:

由于温度变化对空气折射率的影响很小,基本是常数,因此可以简化为:

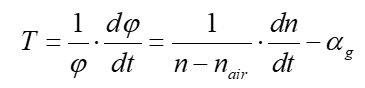
定义温度焦距位移系数T为单位光焦度透镜在单位温度改变后光焦度改变量,则有:

由上式可以看出,折射透镜的热差系数T与材料的热膨胀系数、材料热光系数和材料的折射率决定,因此是一个仅与材料自身属性相关的量。
- 二元面的热差特性
二元面是折衍混合系统中最常见的面型,前面我已经对微纳光学大体上的情况进行了概述,并详细介绍了二元面。
未来镜头发展方向-微纳光学技术概述
微纳光学(二)——折衍混合光学系统中的二元面
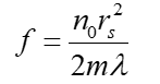
对于DOEs,其焦距与环带的半径相关,即

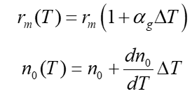
式中rs表示第s个环带的半径;n0是环境介质折射率,一般情况下约等于1,λ为入射光波波长。环境温度变化会导致环带半径和介质折射率变化:

将上式其带入焦距公式之前文章中给出过的二元面焦距公式中,省去高阶小量,可以解得衍射元件的光热膨胀系数为下式,也可以称作热差系数:

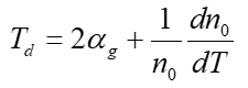
考虑到环境是空气,折射率随温度变化很小,将上式中后面的一项忽略可得:

因此DOEs的热差系数仅与材料的热膨胀系数有关,一般只为正值。与前一节得到的折射透镜公式相比,折射元件的热差系数同时还与材料热光系数和折射率相关,一般为负值。这与常规透镜材料相比是一个很大的差别,二元面的这个特性对于无热化来说也是非常有利的。
三、设计实例
假设我们想设计一个红外双色光学系统,中波和长波红外共用光路,光学系统口径100mm,F数为4,视场为10°。要求在-60℃~+80℃范围内实现无热化,只用硅锗两种材料,机械结构材料为铝合金。我们先不考虑无热化,优化一下,可见指标还是很容易实现的。

加上温度特性,不调整材料和结构,直接去再优化一下,优化结果及不同温度下MTF曲线如下:


-60℃

20℃

80℃
不同温度下的MTF曲线出现了一定的差异,而此时系统整体的温度特性呈现出一种温度越低,成像质量越差的状态。此时我们同样不去调整结构和材料,只把第一片锗透镜的后表面改成二元面,衍射级次为1,归一化半径为12.5,结果如下,不同温度下的传函几乎一样,特别是传函随温度变化的趋势得到了良好抑制。
当然,在这里我只是想展示二元面的热差特性,大家可以试试通过替换材料和调整结构,不用二元面能不能实现同样的效果。


-60℃

20℃

80℃
四、总结
通过本文的分析,我们能够更好地理解二元光学元件的温度特性以及其在实际设计中的应用。二元光学透镜不仅在色散控制和像差校正方面表现出色,还能够帮助我们更容易地实现无热化。虽然二元光学元件的设计和加工存在一定的挑战,但随着技术的发展,尤其是在红外波段的应用前景广阔。未来,随着加工技术的进步和设计方法的优化,二元光学元件将在更广泛的光学系统中发挥更重要的作用。